题目内容

如图所示,轮子的半径均为R=0.20m,且均由电动机驱动以角速度w=8.0rad/s逆时针匀速转动,轮子的转动轴在同一水平面上,轴心相距d=1.6m.现将一块均匀木板轻轻地平放在轮子上,开始时木板的重心恰好在O2轮的正上方,已知木板的长度L>2d,木板与轮子间的动摩擦因数均为=0.16(滑动摩擦力等于最大静摩擦力).则木板的重心恰好运动到O1轮正上方所需的时间是( )
A.1s
B.0.5s
C.1.5s
D.条件不足,无法判断
【答案】分析:根据v=Rω求出轮子的线速度,木板在轮子上先做匀加速直线运动,当速度达到轮子的线速度时,做匀速直线运动,根据牛顿第二定律求出加速度,再根据运动学公式求出运动的时间.
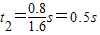
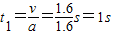
解答:解:轮子的线速度v=Rω=0.2×8m/s=1.6m/s,木板的加速度a=μg=1.6m/s2,当木板达到轮子线速度所经过的位移<1.6m,知木板先做匀加速直线运动再做匀速直线运动,匀加速直线运动的时间,位移为0.8m,则匀速直线运动的位移x2=1.6-0.8m=0.8m,匀速直线运动的时间,所以运动的总时间t=1.5s.故C正确,A、B、D错误.
故选C.
点评:解决本题的关键能通过物体的受力判断出物体的运动情况,然后结合牛顿第二定律和运动学公式进行求解.
练习册系列答案
相关题目

违法和不良信息举报电话:027-86699610 举报邮箱:58377363@163.com

精英家教网