题目内容
一束电子流在U1=500V的电压作用下得到一定速度后垂直于平行板间的匀强电场飞入两板间的中央,如图所示.若平行板间的距离d=1cm,板长l=5cm,求:(1)电子进入平行板间的速度多大?
(2)至少在平行板上加多大电U2才能使电子不再飞出平行板?(电子电量1.6×10-19C,电子的质量9×10-31kg)
【答案】分析:(1)电子在加速电场中,电场力做正功qU1,根据动能定理求解获得的速度,即为进入平行板间的速度.
(2)电子垂直电场方向进入平行板间,重力不计,则做类平抛运动,将电子的运动分解为水平方向的匀速直线运动和竖直方向的匀加速直线运动.根据牛顿第二定律和运动学规律求解.
解答:解:(1)电子在加速电场中运动时
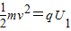
根据动能定理,得
?
(2)电子在偏转电场中运动时
加速度
由电子在水平方向做匀速直线运动得 L=vt?t=
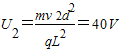
电子在竖直方向做匀加速直线运动,刚好不飞出电场时y=
又y=
,将a、t代入得

答:(1)电子进入平行板间的速度1.33×107m/s;
(2)至少在平行板上加40V电压才能使电子不再飞出平行板.
点评:电子在电场中做类平抛运动,不仅轨迹与平抛运动相似,是抛物线,更重要的是研究方法与平抛运动相似,采用运动的合成与分解方法处理.与平抛运动最大的不同是加速度,加速度≠g,要根据牛顿第二定律求出.
(2)电子垂直电场方向进入平行板间,重力不计,则做类平抛运动,将电子的运动分解为水平方向的匀速直线运动和竖直方向的匀加速直线运动.根据牛顿第二定律和运动学规律求解.
解答:解:(1)电子在加速电场中运动时
根据动能定理,得
(2)电子在偏转电场中运动时
加速度
由电子在水平方向做匀速直线运动得 L=vt?t=
电子在竖直方向做匀加速直线运动,刚好不飞出电场时y=
又y=
答:(1)电子进入平行板间的速度1.33×107m/s;
(2)至少在平行板上加40V电压才能使电子不再飞出平行板.
点评:电子在电场中做类平抛运动,不仅轨迹与平抛运动相似,是抛物线,更重要的是研究方法与平抛运动相似,采用运动的合成与分解方法处理.与平抛运动最大的不同是加速度,加速度≠g,要根据牛顿第二定律求出.
练习册系列答案
相关题目