题目内容

一只电流表的满偏电流为Ig=3 mA,内阻为Rg=100Ω,若改装成量程为I=30mA的电流表,

      (选填串联或并联)的电阻阻值为           Ω;若将改装成量程为U=15V的电压表,应        (选填串联或并联)一个阻值为        Ω的电阻。

 

【答案】

并联       串联    4900

【解析】

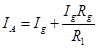
试题分析:根据串并联电路的规律,知要改装成大量程的电流表需并联一电阻,设阻值为R1,则改装后电表的量程,代入可求;改装成电压表需与表头串联一电阻,设阻值为R2。则改装后电压表量程,代入可求R2=4900Ω。

考点:本题考查电表的改装,意在考查学生的理解能力。

 

练习册系列答案
相关题目

违法和不良信息举报电话:027-86699610 举报邮箱:58377363@163.com

精英家教网