题目内容

一物体做匀加速直线运动,初速度为0.5 m/s,第7 s内的位移比第5 s内的位移多4 m,求:(1)物体的加速度.(2)物体在5 s内的位移.

(1) 2m/s2  (2)9.5m

解析试题分析:(1)根据匀变速运动的规律,第5秒内的平均速度等于4.5s时刻的瞬时速度,同理第7秒内的平均速度等于6.5s时刻的瞬时速度;
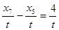
因为
所以,其中t=1s,
所以
所以
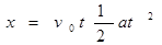
(2)物体在5 s内的位移
根据


所以s=9.5m
考点:此题考查匀变速运动的规律。

练习册系列答案
相关题目

违法和不良信息举报电话:027-86699610 举报邮箱:58377363@163.com

精英家教网