题目内容

长为L的平行金属板水平放置,两极板带等量的异种电荷,板间形成匀强电场,一个带电为+q、质量为m的带电粒子,以初速v0紧贴上板垂直于电场线方向进入该电场,刚好从下板边缘射出,射出时末速度恰与下板成30°角,如图所示,不计粒子重力,求:

(1)粒子末速度的大小

(2)匀强电场的场强.

(3)两板间的距离.

答案:
解析:

  (1)由速度关系得:(4分)

  (1分)

  (2)由牛顿第二定律得:(1分)

  由平抛规律得: (1分) (1分)

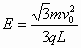
  得:(2分)

  (3)由平抛规律得:(3分)

  得:(1分)


练习册系列答案
相关题目

违法和不良信息举报电话:027-86699610 举报邮箱:58377363@163.com

精英家教网