题目内容
(1)下列说法正确的有______A.卢瑟福的α粒子散射实验可以估测原子核的大小
B.氢原子辐射出一个光子后,氢原子的电势能增大,核外电子的运动加速度增大
C.物质波是一种概率波,在微观物理学中不可以用“轨迹”来描述粒子的运动
D.若氢原子从 n=6 能级向 n=1 能级跃迁时辐射出的光不能使某金属发生光电效应,则氢原子从 n=6 能级向 n=2 能级跃迁时辐射出的光能使该金属发生光电效应
(2)正电子发射计算机断层显象(PET)的基本原理是:将放射性同位素815O注入人体,815O在人体内衰变放出的正电子与人体内的负电子相遇而湮灭,转化为一对γ光子,被探测器探测到,并经计算机处理后产生清晰的图象.根据PET的原理,815O在人体内衰变的方程式是______8O→
【答案】分析:(1)应用能级跃迁公式,判断能否发生光电反应.(2)核反应前后质量数和电荷数守恒.(3)动量守恒定律的应用
解答:解:(1)A、估算出的是原子核的电荷半径,故A正确;
B、辐射出一个光子从高能级向低能级跃迁,电子绕核旋转的半径变小,由于是电场力做正功,氢原子的电势能减少,故B错误;
C、物质波是概率波,不可预知其某时刻的位置,故C正确;
D、根据公式:hν=En-Em知从 n=6 能级向 m=2 能级跃迁时辐射出的光不能使该金属发生光电效应,故D错误;
故选:AC
(2)此反应放出正电子,故核反应方程为
O→
N+
e;815O通过衰变转化为一对γ光子被探测器探测到,故作用是:示踪原子.
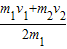
(3)解:设两个小球第一次碰后m1和m2速度的大小分别为
和
,
由动量守恒定律得:m1V1+m2V2=m1
+m2
两个小球再一次碰撞:m1
-m2
=0
得:
=
点评:本题考查的知识点较多,玻尔模型和氢原子的能级结构、物质波,核反应方程,动量守恒定律的应用.
解答:解:(1)A、估算出的是原子核的电荷半径,故A正确;
B、辐射出一个光子从高能级向低能级跃迁,电子绕核旋转的半径变小,由于是电场力做正功,氢原子的电势能减少,故B错误;
C、物质波是概率波,不可预知其某时刻的位置,故C正确;
D、根据公式:hν=En-Em知从 n=6 能级向 m=2 能级跃迁时辐射出的光不能使该金属发生光电效应,故D错误;
故选:AC
(2)此反应放出正电子,故核反应方程为
(3)解:设两个小球第一次碰后m1和m2速度的大小分别为
由动量守恒定律得:m1V1+m2V2=m1
两个小球再一次碰撞:m1
得:
点评:本题考查的知识点较多,玻尔模型和氢原子的能级结构、物质波,核反应方程,动量守恒定律的应用.
练习册系列答案
相关题目