题目内容
如图所示,一理想变压器上绕有A、B、C三个线圈,匝数比nA:nB:nC=4:2:1,在副线圈B和C的两端各接一个相同的电阻R,当原线圈A与交变电源连接时,交变电流表A2的示数为I,则交变电流表A1的示数为多少?
【答案】分析:根据欧姆定律可知:U2=IR,根据电压与匝数成正比,可以求得原线圈的电压和副线圈C的电压,根据变压器的输入的功率和输出的功率相等可以求得原线圈Ⅰ中的电流强度I1.
解答:解:根据欧姆定律可知:U2=IR,
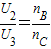
根据
得:

根据
得:U1=2U2=2IR
根据欧姆定律可知:

根据变压器的输入的功率和输出的功率相等得:
U1I1=U2I2+U3I3
解得:I1=
答:交变电流表A1的示数为
.
点评:在本题中,由于副线圈有两个线圈,电流与匝数成反比的结论不再成立,所以在计算电流的时候不能再用,但是电压与匝数成正比的结论仍然是成立的.
解答:解:根据欧姆定律可知:U2=IR,
根据
根据
得:U1=2U2=2IR
根据欧姆定律可知:
根据变压器的输入的功率和输出的功率相等得:
U1I1=U2I2+U3I3
解得:I1=
答:交变电流表A1的示数为
点评:在本题中,由于副线圈有两个线圈,电流与匝数成反比的结论不再成立,所以在计算电流的时候不能再用,但是电压与匝数成正比的结论仍然是成立的.
练习册系列答案
相关题目