题目内容
如图,为测量作匀加速直线运动小车的加速度,将宽度均为b的挡光片A、B固定在小车上,测得二者间距为d.(1)当小车匀加速经过光电门时,测得两挡光片先后经过的时间△t1和△t2,则小车加速度a=______.
(2)(多选题)为减小实验误差,可采取的方法是______
(A)增大两挡光片宽度b(B)减小两挡光片宽度b
(C)增大两挡光片间距d(D)减小两挡光片间距d.
【答案】分析:(1)想求出加速度的大小,可根据小车A点和B点的速度利用匀变速度直线运动的规律公式求出.
(2)根据极限逼近思想用平均速度代替瞬时速度,则b要小;另外A、B点越远,相对误差越小.
解答:解:(1)挡光片经过A,B两点,由于时间较短,可用平均速度代替瞬时速度,则小车经过A、B两点的瞬时速度分别为:
V1=
V2=
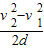
根据速度-位移关系公式有:a=
,得a=
(2)b越小,所测的平均速度越接近瞬时速度,d越大初速度、与末速度差距越大,速度平方差越大,相对误差越小.
故答案为:(1)
(2)BC
点评:本题考查“测量作匀加速直线运动小车的加速度”实验原理和误差分析,是一道基础题.
(2)根据极限逼近思想用平均速度代替瞬时速度,则b要小;另外A、B点越远,相对误差越小.
解答:解:(1)挡光片经过A,B两点,由于时间较短,可用平均速度代替瞬时速度,则小车经过A、B两点的瞬时速度分别为:
V1=
根据速度-位移关系公式有:a=
(2)b越小,所测的平均速度越接近瞬时速度,d越大初速度、与末速度差距越大,速度平方差越大,相对误差越小.
故答案为:(1)
(2)BC
点评:本题考查“测量作匀加速直线运动小车的加速度”实验原理和误差分析,是一道基础题.
练习册系列答案
相关题目