题目内容
以18m/s的速度行驶的汽车,紧急刹车后做匀减速直线运动,其加速度大小为6m/s2.求(1)汽车在刹车2s末的速度(2)汽车在刹车5s末的位移.
【答案】分析:(1)先求出汽车刹车到停下所需的时间,汽车速度为0后不再运动,根据速度公式求出刹车2s末的速度.
(2)根据刹车到停下所需的时间,判断5s末是否已停止,然后根据位移时间公式或速度位移公式等求出刹车5s末的位移.
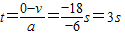
解答:解:(1)汽车刹车到停下所需的时间为
>2s
所以2s末的速度v=v+at=18-6×2=6m/s.
(2)t<5s,则汽车刹车在5s末的位移等于3s末的位移.
所以位移x=
.
点评:解决本题的关键知道汽车刹车速度为0后不再运动,所以首先要求出刹车到停下来所需的时间,然后根据速度时间公式和位移时间公式等进行求解.
(2)根据刹车到停下所需的时间,判断5s末是否已停止,然后根据位移时间公式或速度位移公式等求出刹车5s末的位移.
解答:解:(1)汽车刹车到停下所需的时间为
所以2s末的速度v=v+at=18-6×2=6m/s.
(2)t<5s,则汽车刹车在5s末的位移等于3s末的位移.
所以位移x=
点评:解决本题的关键知道汽车刹车速度为0后不再运动,所以首先要求出刹车到停下来所需的时间,然后根据速度时间公式和位移时间公式等进行求解.
练习册系列答案
相关题目