题目内容

如图所示,A、B两物体相距s=7m,物体A在水平拉力和摩擦力的作用下,正以vA=4m/s 的速度向右匀速运动,而物体B此时的速度vB=10m/s,由于摩擦力作用向右匀减速运动,加速度a=-2m/s2,那么物体A追上物体B所用时间为( )

A.7s
B.8s
C.9s
D.10s
【答案】分析:假设经过时间t,物块A追上物体B,根据位移时间公式结合几何关系列式求解即可.
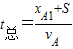
解答:解:物体A做匀速直线运动,位移为:xA=vAt=4t
物体B做匀减速直线运动减速过程的位移为:=10t-t2
设速度减为零的时间为t1,有
在t1=5s的时间内,物体B的位移为xB1=25m,物体A的位移为xA1=20m,由于xB1+S>xA1,故物体A未追上物体B;
5s后,物体B静止不动,故物体A追上物体B的总时间为:=
故选B.
点评:本题是追击问题,特别要注意物体B做匀减速运动,要分清是减速过程追上还是静止后被追上;第二种情况下的位移用位移时间公式求解时要注意时间是减速的时间,而不是总时间.
练习册系列答案
相关题目

违法和不良信息举报电话:027-86699610 举报邮箱:58377363@163.com

精英家教网