题目内容

2005年10月12日,我国成功发射了“神州”六号载人飞船.这是继2003年10月15日神舟五号载人飞船成功发射之后,人类探索太空历史上的又一次重要成就.这次执行任务的长二F型运载火箭,全长58.3 m,起飞质量为479.8 t,刚起飞时,火箭竖直升空,航天员费俊龙、聂海胜有较强的超重感,仪器显示他们对座舱的最大压力达到他们体重的5倍.飞船入轨之后,在115.5 h内环绕地球飞行77圈,将飞船的轨道简化为圆形,求

(1)点火发射时,火箭的最大推力.(g取10 m/s2,结果保留两位有效数字)

(2)飞船运行轨道与地球同步卫星轨道的半径之比(可以保留根号)

答案:
解析:

  解:(1)对宇航员进行受力分析,并由牛顿第二定律得

  N=5mg,

  对火箭应用牛顿第二定律得

  由以上两式解得N

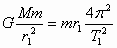
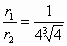
  (2)飞船运行周期1.5 h,轨道半径为r1,同步卫星运行周期为T2=24 h,轨道半径为r2,对飞船及同步卫星分别有

  

  

  解得

  代入数据解得


练习册系列答案
相关题目

违法和不良信息举报电话:027-86699610 举报邮箱:58377363@163.com

精英家教网