题目内容
如图所示,两平行金属板间有一匀强电场,板长为L,板间距离为d,在板右端L处有一竖直放置的光屏M,一带电荷量为q,质量为m的质点从两板中央射入板间,最后垂直打在M屏上,则下列结论正确的是( )
![]()
A.板间电场强度大小为2mg/q
B.板间电场强度大小为mg/2q
C.质点在板间运动中重力的冲量和它从板的右端运动到光屏的过程中重力的冲量相等
D.质点在板间的运动时间大于它从板的右端运动到光屏的时间
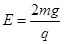
【答案】
AC
【解析】
试题分析:据题分析可知,质点在平行金属板间轨迹应向上偏转,做类平抛运动,飞出电场后,质点的轨迹向下偏转,质点才能最后垂直打在M屏上,前后过程质点的运动轨迹有对称性,如图:
![]()
可见两次偏转的加速度大小相等,根据牛顿第二定律可知,
,所以
,A对B错;由于质点在水平方向一直做匀速直线运动,两段水平位移大小相等,则质点在板间运动的时间跟它从板的右端运动到光屏的时间相等,故C对D错。
考点:带点粒子在电场中的运动
练习册系列答案
相关题目
| A、把两板间距离减小一半,同时把粒子速率增加一倍 | B、把两板的距离增大一倍,同时把板间的磁感应强度增大一倍 | C、把开关S断开,两板的距离增大一倍,同时把板间的磁感应强度减为一半 | D、把开关S断开,两板的距离减小一半,同时把粒子速率减小一半 |