题目内容

一辆实验小车可沿水平地面(图中纸面)上的长直轨道匀速向右运动.有一台发出细光束的激光器装在小转台M上,到轨道的距离MN约为d=10m.如图所示.转台匀速转动,使激光束在水平面内扫描,扫描一周的时间T=60s.光束转动方向如图中的箭头所示,当光束与MN的夹角为45°时,光束正好射到小车上,如果再经△t=2.5s,光束又射到小车上,则小车的速度为多少?(结果保留两位有效数字).

答案:略
解析:

  在△t=2.5s的时间内,光束转过的角度

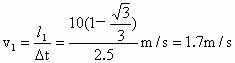
这时光束与竖直方向的夹角有两种可能,如答图所示.(1)若光束下射国上时,小车正在N的左侧向右运动,Δt时间内光束与MN的夹角由45°变为30°.小车在这段时间内的位移为,则速度(2)若光束照到小车上时,小车正在N的右侧向右运动,则Δt时间内光束与MN的夹角由45°变为60°,则在Δt时间内小车的位移,这时小车的速度

  在△t内光束不能转过一周,故出现题目中的两种可能情况,对此两种可能情况的判断是本题的关键.


练习册系列答案
相关题目

违法和不良信息举报电话:027-86699610 举报邮箱:58377363@163.com

精英家教网