题目内容

如图所示,图线a是线圈在匀强磁场中匀速转动时所产生正弦交流电的图象,当调整线圈转速后,所产生正弦交流电的图象如图线b所示,以下关于这两个正弦交流电的说法正确的是(    )

A.在图中t=0时刻穿过线圈的磁通量均为零

B.线圈先后两次转速之比为2:1

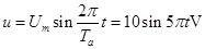
C.交流电a的瞬时值为

D.交流电b电压的最大值为5V

 

【答案】

C

【解析】

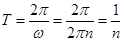
试题分析:t=0时刻两个正弦式电流的感应电动势瞬时值均为零,线圈都与磁场垂直,则穿过线圈的磁通量都最大;由图读出正弦交流电周期为,则周期之比为,由,则线圈先后两次转速之比为;正弦式电流a的瞬时值为;根据正弦式电流的感应电动势最大值公式,可得正弦式电流的感应电动势最大值之比为,则正弦式电流b的最大值为,所以正确选项为C。

考点:本题考查了正弦式电流的感应电动势与磁通量的关系、电动势最大值公式。

 

练习册系列答案
相关题目

违法和不良信息举报电话:027-86699610 举报邮箱:58377363@163.com

精英家教网