题目内容
如图甲所示装置中,左侧是宽度为L的有界磁场,磁场方向垂直纸面向内.M、N为水平放置的平行导体板,长度为L,间距为d,加上电压后不考虑电场边缘效应,O1O2为两极板的中线.P是足够大的荧光屏,且屏与极板右边缘的距离也为L.质量为m、电荷量为e的电子从磁场左侧图示位置进入磁场,速度大小为v,方向与水平成θ角.经过磁场偏转后,速度沿水平方向从O1位置进入MN板间区域,求:(1)磁场磁感应强度B大小;
(2)若极板M、N间加恒定电压,电子经过电场偏转后正好打中屏上的A点,A点与极板M的同一水平线上,求M、N间所加电压U.
(3)若M、N间所加电压按如图乙所示周期性变化,要使电子磁场后在t=0时刻进入偏转电场后水平击中A点,试确定偏转电场电压U以及周期T分别应该满足的条件.
【答案】分析:(1)根据牛顿第二定律,结合洛伦兹力可求出磁感应强度的大小;
(2)粒子出电场后反向速度的反向延长线经过偏转电场中轴线的中点,根据几何关系得出速度与水平方向的夹角,结合牛顿第二定律和运动学公式求出偏转电压的大小.
(3)要使电子在水平在水平方向击中A点,电子必向上极板偏转,且vy=0,则电子应在t=0时刻进入偏转电场,且电子在偏转电场中运动的时间为整数个周期.抓住时间与周期的关系求出周期的通项表达式.根据运动的对称性,知粒子在一半时间内在竖直方向上的位移等于
,根据该关系求出偏转电压的通项表达式.
解答:解:(1)电子经磁场偏转,洛伦兹力提供向心力,则有:
;
由几何关系,L=Rsinθ
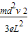
解得:B=
(2)由题意知,电子经偏转电场偏转后做匀速直线运动到达A点,设电子离开偏转电场时的偏转角为θ,则由几何关系得:
=(L+
)tanθ
解得:tanθ=
又tanθ=

L=vt
解得:U=
(3)要使电子在水平在水平方向击中A点,电子必向上极板偏转,且vy=0,则电子应在t=0时刻进入偏转电场,且电子在偏转电场中运动的时间为整数个周期,设电子从加速电场射出的速度为v,则
因为电子水平射出,则电子在偏转电场中的运动时间满足t=
=nT
则T=
(n=1,2,3,4…)
在竖直方向位移应满足
=2n×
a(
)2=2n×
?
(
)2
解得:U=
(n=1,2,3,4…)
答:(1)磁场磁感应强度B=
.
(2)偏转电场所加电压为U=
.
(3)偏转电场电压为U=
(n=1,2,3,4…),满足的周期关系为T=
(n=1,2,3,4…).
点评:本题是带电粒子先加速后偏转问题,电场中加速根据动能定理求解获得的速度、偏转电场中类平抛运动的研究方法是运动的分解和合成.
(2)粒子出电场后反向速度的反向延长线经过偏转电场中轴线的中点,根据几何关系得出速度与水平方向的夹角,结合牛顿第二定律和运动学公式求出偏转电压的大小.
(3)要使电子在水平在水平方向击中A点,电子必向上极板偏转,且vy=0,则电子应在t=0时刻进入偏转电场,且电子在偏转电场中运动的时间为整数个周期.抓住时间与周期的关系求出周期的通项表达式.根据运动的对称性,知粒子在一半时间内在竖直方向上的位移等于
解答:解:(1)电子经磁场偏转,洛伦兹力提供向心力,则有:
由几何关系,L=Rsinθ
解得:B=
(2)由题意知,电子经偏转电场偏转后做匀速直线运动到达A点,设电子离开偏转电场时的偏转角为θ,则由几何关系得:
解得:tanθ=
L=vt
解得:U=
(3)要使电子在水平在水平方向击中A点,电子必向上极板偏转,且vy=0,则电子应在t=0时刻进入偏转电场,且电子在偏转电场中运动的时间为整数个周期,设电子从加速电场射出的速度为v,则
因为电子水平射出,则电子在偏转电场中的运动时间满足t=
则T=
在竖直方向位移应满足
解得:U=
答:(1)磁场磁感应强度B=
(2)偏转电场所加电压为U=
(3)偏转电场电压为U=
点评:本题是带电粒子先加速后偏转问题,电场中加速根据动能定理求解获得的速度、偏转电场中类平抛运动的研究方法是运动的分解和合成.
练习册系列答案
相关题目