题目内容
为探究理想变压器原、副线圈电压、电流的关系,将原线圈接到电压有效值不变的正弦交流电源上,副线圈连接相同的灯泡L1、L2,电路中分别接了理想交流电压表V1、V2和理想交流电流表A1、A2,导线电阻不计,如图所示.当开关S闭合后
![]()
A.A1示数变大,A1与A2示数的比值不变
B.A1示数变大,A1与A2示数的比值变大
C.V2示数变小,V1与V2示数的比值变大
D.V2示数不变,V1与V2示数的比值不变
【答案】
AD
【解析】
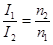
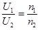
试题分析:由于变压器原线圈接到电压有效值不变的正弦交流电源上,根据
则变压器次级电压一定,即电压表V1、V2的读数是不变的。当开关S闭合后,次级电阻减小,则次级电流增大,根据
,所以初级电流变大,即A1示数变大,A1与A2示数的比值不变。选项AD正确。
考点:此题考查变压器中原副线圈的匝数与原副线圈电流的关系及对电路的动态分析。
练习册系列答案
相关题目
| A、A1示数变大,A1与A2示数的比值不变 | B、A1示数变大,A1与A2示数的比值变大 | C、V2示数变小,V1与V2示数的比值变大 | D、V2示数变小,V1与V2示数的比值不变 |
| A、A1示数变大,A1与A2示数的比值变小 | B、A1示数变大,A1与A2示数的比值变大 | C、V2示数变小,V1与V2示数的比值变大 | D、V2示数不变,V1与V2示数的比值不变 |
为探究理想变压器原、副线圈电压、电流的关系,将原线圈接到电压有效值不变的正弦交流电源上,副线圈连接相同的灯泡L1、L2,电路中分别接了理想交流电压表V1、V2和理想交流电流表A1、A2,导线电阻不计,如下图所示。当开关S闭合后 ( )![]()
| A.A1示数变大,A1与A2示数的比值不变 |
| B.A1示数变大,A1与A2示数的比值变大 |
| C.V2示数变小,V1与V2示数的比值变大 |
| D.V2示数变小,V1与V2示数的比值不变 |