题目内容
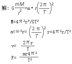
某一行星有一个质量为m的卫星以半径为r,周期为T绕行星作匀速圆周运动,则行星的质量M=______________, 卫星加速度a=_______________,卫星运行速度v=__________________,行星对卫星的引力F=___________________.
答案:A,C,B,D
解析:
解析:
|
|
练习册系列答案
相关题目
宇宙飞船进入靠近某行星表面的圆形轨道,绕行数圈后着陆在该行星上,宇航员在绕行及着陆后各做一次测量,依据所测量的数据,可以求出该行星的质量M、半径R(已知引力常量为G). 如果宇宙飞船上备有的实验仪器有:
| A.一只秒表 |
| B.一个弹簧秤 |
| C.一个质量为m的钩码 |
| D.一把毫米刻度尺 |
(2)宇航员两次测量的物理量分别是___________和___________.
(3)用测得的数据求得该行星的半径R=___________,质量M___________.