题目内容
下列几组数据中能算出地球质量的是(万有引力常量G是已知的)( )A.地球绕太阳运行的周期T和地球中心离太阳中心的距离r
B.月球绕地球运行的周期T和地球的半径r
C.月球绕地球运动的角速度和月球中心离地球中心的距离r
D.月球绕地球运动的周期T和轨道半径r
【答案】分析:根据旋转天体绕中心天体运行的模型,由旋转天体公转半径和周期求出中心天体的质量分析:地球绕太阳运行的周期T和地球中心离太阳中心的距离r可求出太阳的质量.由月球绕地球运行的周期T,月球绕地球运动的角速度和月球中心离地球中心的距离r,不能求出地球的质量.月球绕地球运动的周期T和轨道半径r可求出地球的质量.
解答:解:根据旋转天体绕中心天体运行的模型,根据万有引力等于向心力,由旋转天体公转半径和周期可求出中心天体的质量.
A、已知地球绕太阳运行的周期和地球的轨道半径只能求出太阳的质量,而不能求出地球的质量,故A错误.
B、已知月球绕地球运行的周期和地球的半径,不知道月球绕地球的轨道半径,所以不能求地球的质量,故B错误.
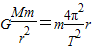
C、已知月球绕地球运动的角速度和轨道半径,由
得知,可以算出地球质量M,故C正确.
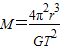
D、由
求得地球质量为
,故D正确.
答案:CD
点评:本题利用万有引力和圆周运动知识,知道旋转天体的公转半径和周期求出的是中心天体的质量,不是旋转天体的质量.
解答:解:根据旋转天体绕中心天体运行的模型,根据万有引力等于向心力,由旋转天体公转半径和周期可求出中心天体的质量.
A、已知地球绕太阳运行的周期和地球的轨道半径只能求出太阳的质量,而不能求出地球的质量,故A错误.
B、已知月球绕地球运行的周期和地球的半径,不知道月球绕地球的轨道半径,所以不能求地球的质量,故B错误.
C、已知月球绕地球运动的角速度和轨道半径,由
D、由
答案:CD
点评:本题利用万有引力和圆周运动知识,知道旋转天体的公转半径和周期求出的是中心天体的质量,不是旋转天体的质量.
练习册系列答案
相关题目