ÌâÄ¿ÄÚÈÝ

£¨8·Ö£©ÍÁÐÇÉÏ¿ÕÓÐÐí¶à´óС²»µÈµÄÑÒʯ¿ÅÁ££¬ÆäÈÆÍÁÐǵÄÔ˶¯¿ÉÊÓΪԲÖÜÔ˶¯¡£ÆäÖÐÓÐÁ½¸öÑÒʯ¿ÅÁ£AºÍBÓëÍÁÐÇÖÐÐľàÀë·Ö±ðΪrA£½8.0¡Á104 kmºÍr B£½1.2¡Á105 km¡£ºöÂÔËùÓÐÑÒʯ¿ÅÁ£¼äµÄÏ໥×÷Óᣣ¨½á¹û¿ÉÓøùʽ±íʾ£©

¢ÅÇóÑÒʯ¿ÅÁ£AºÍBµÄÏßËÙ¶ÈÖ®±È£»

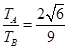
¢ÆÇóÑÒʯ¿ÅÁ£AºÍBµÄÖÜÆÚÖ®±È£»

¢ÇÍÁÐÇ̽²âÆ÷ÉÏÓÐÒ»ÎïÌ壬ÔÚµØÇòÉÏÖØÎª10 N£¬ÍÆËã³öËûÔÚ¾àÍÁÐÇÖÐÐÄ3.2¡Á105 km´¦Êܵ½ÍÁÐǵÄÒýÁ¦Îª0.38 N¡£ÒÑÖªµØÇò°ë¾¶Îª6.4¡Á103 km£¬Çë¹ÀËãÍÁÐÇÖÊÁ¿ÊǵØÇòÖÊÁ¿µÄ¶àÉÙ±¶£¿

 

¡¾´ð°¸¡¿

¢Å   ¢Æ  ¢ÇM0/M=95

¡¾½âÎö¡¿

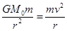
ÊÔÌâ·ÖÎö£º¢ÅÉèÍÁÐÇÖÊÁ¿ÎªM0£¬¿ÅÁ£ÖÊÁ¿Îªm£¬¿ÅÁ£¾àÍÁÐÇÖÐÐľàÀëΪr£¬ÏßËÙ¶ÈΪv£¬¸ù¾ÝÅ£¶ÙµÚ¶þ¶¨ÂɺÍÍòÓÐÒýÁ¦¶¨ÂÉ£º £¨1·Ö£©

½âµÃ£º  £¨1·Ö£©

¶ÔÓÚA¡¢BÁ½¿ÅÁ£·Ö±ðÓУº ºÍ 

µÃ£º   »ò £¨1·Ö£©

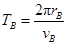
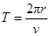
¢ÆÉè¿ÅÁ£ÈÆÍÁÐÇ×÷Ô²ÖÜÔ˶¯µÄÖÜÆÚΪT£¬Ôò£º

   £¨1·Ö£©

¶ÔÓÚA¡¢BÁ½¿ÅÁ£·Ö±ðÓУººÍ

µÃ£º »ò£¨1·Ö£©

¢ÇÉèµØÇòÖÊÁ¿ÎªM£¬µØÇò°ë¾¶Îªr0£¬µØÇòÉÏÎïÌåµÄÖØÁ¦¿ÉÊÓΪÍòÓÐÒýÁ¦£¬Ì½²âÆ÷ÉÏÎïÌåÖÊÁ¿Îªm0£¬ÔÚµØÇò±íÃæÖØÁ¦ÎªG0£¬¾àÍÁÐÇÖÐÐÄr0/£½3.2¡Á105 km´¦µÄÒýÁ¦ÎªG0/£¬¸ù¾ÝÍòÓÐÒýÁ¦¶¨ÂÉ£º

      £¨1·Ö£©

       £¨1·Ö£©

½âµÃ£º        £¨1·Ö£©

¿¼µã£º±¾Ì⿼²é¶ÔÍòÓÐÒýÁ¦¶¨ÂɵÄÓ¦Óá£

 

Á·Ï°²áϵÁдð°¸
Ïà¹ØÌâÄ¿

Î¥·¨ºÍ²»Á¼ÐÅÏ¢¾Ù±¨µç»°£º027-86699610 ¾Ù±¨ÓÊÏ䣺58377363@163.com

¾«Ó¢¼Ò½ÌÍø