题目内容

(1)利用重锤的自由下落和电磁打点计时器验证机械能守恒定律,下面哪些实验仪器是必需的?  (填写仪器前的字母代号).

 

A.天平  B.4~6V的低压直流电源 

C.4~6V的低压交流电源  D.停表  E.刻度尺

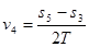
(2)在该实验中,选定了一条较为理想的纸带,如图所示,纸带的       端(选填“左”或“右”)与重物相连;重物由“0”点运动到“4”点,重力势能减少量的表达式为        ,动能增量的表达式为          (重锤质量为m,打点计时器的打点周期为T),实验结果发现动能增量总      (填“大于”、“等于”或“小于”)重力势能的减少量,主要的原因是                。                              

 

 

【答案】

(1)CE 

(2)左  mgs4  m(s5-s3)2/8T2  小于  存在空气阻力和纸带与打点计时器间的阻力等    

【解析】

试题分析:(1)利用重锤的自由下落和电磁打点计时器验证机械能守恒定律,下面的实验仪器是必需的:C.4~6V的低压交流电源,E.刻度尺。(2)由图可看出纸带的左端和重物相连,重物由“0”点运动到“4”点,重力势能减少量的表达式为mgs4  ,打4点的速度是,动能增量的表达式为=m(s5-s3)2/8T2。实验结果发现动能增量总小于重力势能的减少量,主要的原因是存在空气阻力和纸带与打点计时器间的阻力等。                                 

考点:验证机械能守恒定律;纸带及数据的处理、误差分析。

 

练习册系列答案
相关题目

违法和不良信息举报电话:027-86699610 举报邮箱:58377363@163.com

精英家教网