题目内容
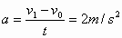
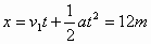
一质点以v0=2 m/s的初速度做匀加速直线运动,第2秒未速度变为v1=4 m/s,求:(1)物体的加速度大小a(2)第5秒末的速度大小v2(3)第二个2秒内位移大小x.
答案:
解析:
解析:
|
解:(1) (2) (3) |
练习册系列答案
相关题目
题目内容
一质点以v0=2 m/s的初速度做匀加速直线运动,第2秒未速度变为v1=4 m/s,求:(1)物体的加速度大小a(2)第5秒末的速度大小v2(3)第二个2秒内位移大小x.
|
解:(1) (2) (3) |