题目内容
如图所示,绝缘长方体B置于水平面上,两端固定一对平行带电极板,极板间形成匀强电场E长方体B的上表面光滑,下表面与水平面的动摩擦因数μ=0.05(设最大静摩擦力与滑动摩擦力相同),B与极板的总质量mB=1.0kg带正电的小滑块A质量mA=0.60kg,其受到的电场力大小F=1.2N,假设A所带的电量不影响极板间的电场分布,t=0时刻,小滑块A从B表面上的a点以相对地面的速度vA=1.6m/s向左运动,同时,B(连同极板)以相对地面的速度vB=0.40m/s向右运动(g取10m/s2)问:(1)A和B刚开始运动时的加速度大小分别为多少?
(2)若A最远能到达b点,a、b的距离L应为多少?从t=0时刻至A运动到b点时,摩擦力对B做的功为多少?
【答案】分析:(1)根据牛顿第二定律分别求出A和B刚开始运动时的加速度大小.
(2)滑块A向左做匀减速运动,求出此过程B从开始运动到速度减至零通过的位移和运动时间,并求出A的位移,得到A相对于B的位移大小,摩擦力对B做功的大小.此后B开始向左作匀加速运动,A继续作匀减速运动,当它们速度相等时A、B相距最远,根据速度相等,由速度公式求出所用时间,由位移公式求出这段时间内A和B运动的位移,得到相对位移,求出摩擦力做功,由几何关系,求解a、b的距离L,及摩擦力对B做的总功.
解答:解:(1)A刚开始运动时的加速度大小
方向水平向右
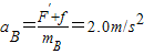
B受电场力F′=F=1.2N摩擦力f=μ(mA+mB)g=0.8N
B刚开始运动时的加速度大小
方向水平向左
(2)设B从开始匀减速到零的时间为t1,则有
,
t1时刻A的速度vA1=vA-aAt1=1.2m/s>0,
A的位移
此t1时间内A相对B运动的位移s1=sA1+sB1=0.32m,w1=-f?sB1=-0.032J
t1后,由于F′>f,B开始向左作匀加速运动,A继续作匀减速运动,当它们速度相等时A、B相距最远,设此过程运动时间为t2,它们速度为v,则有
对A:速度v=vA1-aAt2.
对B:加速度
,速度v=aB1t2
解得:v=0.2m/s,t=0.5s
t2时间内A运动的位移
,B运动的位移
t2内A相对B的位移s2=sA2-sB2=0.30m,摩擦力对B做功为w1=-f?sB2=-0.04J
A最远到达b点a、b的距离为L=s1+s2=0.62m
从t=0时刻到A运动到b点时,摩擦力对B做的功为 wf=w1+w2=-0.072J
答:(1)A刚开始运动时的加速度大小为2m/s2、方向水平向右,B的加速度大小为2m/s2、方向水平向左.
(2)若A最远能到达b点,a、b的距离L应为0.62m,从t=0时刻至A运动到b点时,摩擦力对B做的功为-0.072J.
点评:本题首先要有耐心分析物体的受力情况,来分析物体的运动情况,通过计算来分析运动过程,同时,要把握各个过程的解题规律.
(2)滑块A向左做匀减速运动,求出此过程B从开始运动到速度减至零通过的位移和运动时间,并求出A的位移,得到A相对于B的位移大小,摩擦力对B做功的大小.此后B开始向左作匀加速运动,A继续作匀减速运动,当它们速度相等时A、B相距最远,根据速度相等,由速度公式求出所用时间,由位移公式求出这段时间内A和B运动的位移,得到相对位移,求出摩擦力做功,由几何关系,求解a、b的距离L,及摩擦力对B做的总功.
解答:解:(1)A刚开始运动时的加速度大小
B受电场力F′=F=1.2N摩擦力f=μ(mA+mB)g=0.8N
B刚开始运动时的加速度大小
(2)设B从开始匀减速到零的时间为t1,则有
t1时刻A的速度vA1=vA-aAt1=1.2m/s>0,
A的位移
此t1时间内A相对B运动的位移s1=sA1+sB1=0.32m,w1=-f?sB1=-0.032J
t1后,由于F′>f,B开始向左作匀加速运动,A继续作匀减速运动,当它们速度相等时A、B相距最远,设此过程运动时间为t2,它们速度为v,则有
对A:速度v=vA1-aAt2.
对B:加速度
解得:v=0.2m/s,t=0.5s
t2时间内A运动的位移
t2内A相对B的位移s2=sA2-sB2=0.30m,摩擦力对B做功为w1=-f?sB2=-0.04J
A最远到达b点a、b的距离为L=s1+s2=0.62m
从t=0时刻到A运动到b点时,摩擦力对B做的功为 wf=w1+w2=-0.072J
答:(1)A刚开始运动时的加速度大小为2m/s2、方向水平向右,B的加速度大小为2m/s2、方向水平向左.
(2)若A最远能到达b点,a、b的距离L应为0.62m,从t=0时刻至A运动到b点时,摩擦力对B做的功为-0.072J.
点评:本题首先要有耐心分析物体的受力情况,来分析物体的运动情况,通过计算来分析运动过程,同时,要把握各个过程的解题规律.
练习册系列答案
相关题目