题目内容
在圆轨道上运动的质量为m的人造地球卫星,它到地面的距离等于地球半径R,地面上的重力加速度为g,则( )A.卫星运动的加速度为
B.卫星运动的加速度为
C.卫星运动的速度为
D.卫星的动能为
【答案】分析:根据万有引力提供向心力,万有引力等于重力求出卫星的加速度和线速度,从而求出卫星的动能.
解答:解:A、根据万有引力等于向心力得,
,解得a=
,又GM=gR2,则a=
.故A错误,B正确.
C、根据
,解得卫星运行速度v=
,又GM=gR2,则
.故C错误.
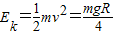
D、卫星的动能
.故D错误.
故选B.
点评:解决本题的关键掌握万有引力提供向心力和万有引力等于重力这两个理论,并能灵活运用.
解答:解:A、根据万有引力等于向心力得,
C、根据
D、卫星的动能
故选B.
点评:解决本题的关键掌握万有引力提供向心力和万有引力等于重力这两个理论,并能灵活运用.
练习册系列答案
相关题目
在圆轨道上运动的质量为m的人造地球卫星,它到地面的距离等于地球半径R.地面上的重力加速度为g,则( )
A、卫星运动的加速度为
| ||||
B、卫星运动的速度为
| ||||
C、卫星运动的周期为4π
| ||||
D、卫星的动能为
|