ÌâÄ¿ÄÚÈÝ

Ò»¶Î°¼²ÛAµ¹¿ÛÔÚˮƽ³¤Ä¾°åCÏ£¬²ÛÄÚÓÐһСÎï¿éB£¬Ëüµ½²ÛÁ½ÄÚ²àµÄ¾àÀë¾ùΪL/2£¬ÈçͼËùʾ£¬Ð¡°åλÓڹ⻬ˮƽµÄ×ÀÃæÉÏ£¬²ÛÓëľ°å¼äµÄĦ²Á²»¼Æ£¬Ð¡Îï¿éÓëľ°å¼äµÄ¶¯Ä¦²ÁÒòÊýΪ¦Ì£¬A¡¢B¡¢CÈýÕßÖÊÁ¿ÏàµÈ£¬Ô­À´¶¼¾²Ö¹£®ÏÖʹ²ÛAÒÔ´óСΪv0µÄ³õËÙÏòÓÒÔ˶¯£¬ÒÑÖªv0£½£¬µ±AºÍB·¢Éúµ¯ÐÔÅöײʱ£¬Á½ÕßËÙ¶È»¥»»£®Çó£º

(1)´ÓA¡¢B·¢ÉúµÚÒ»´ÎÅöײµ½µÚ¶þ´ÎÅöײµÄʱ¼äÄÚ£¬Ä¾°åCÔ˶¯µÄ·³Ì£®

(2)ÔÚA¡¢B¸ÕÒª·¢ÉúµÚËÄ´ÎÅöײʱ£¬A¡¢B¡¢CÈýÕßËٶȵĴóС

´ð°¸£º
½âÎö£º

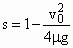
¡¡¡¡(1)

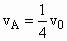
¡¡¡¡(2)£¬


Á·Ï°²áϵÁдð°¸
Ïà¹ØÌâÄ¿

Î¥·¨ºÍ²»Á¼ÐÅÏ¢¾Ù±¨µç»°£º027-86699610 ¾Ù±¨ÓÊÏ䣺58377363@163.com

¾«Ó¢¼Ò½ÌÍø