题目内容

杂技演员表演的“水流星”节目是用一根细绳系着盛水的杯子,演员抡起绳子,杯子就做圆周运动,如图所示.如果表演“水流星”节目时,杯子盛0.5kg的水,杯子沿半径是0.8m的圆周运动,要使杯子运动到最高点时水不致流出,杯子在最高点的速度应是多少?当杯子过最高点的速度为4m/s时,水对杯底的压力是多大?(g取)

答案:5N
解析:

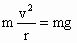
杯中的水在竖直平面内运动到最高点时的速度v若满足这个关系式,水做圆周运动的向心力完全由重力提供[此时水的速度方向沿切线(水平)方向,水不会向下流出).但是,当水在最高点时若有,重力就不足以提供向心力,杯中的水有远离圆心的趋势,向上压紧杯底,对杯底有一个向上的压力,根据牛顿第三定律,杯底对水有一个向下的压力以补充不足的向心力,此时水受力情况如图所示.重力和压力的合力是水做圆周运动的向心力,即

由此看出,当N=0时,杯和水在圆周最高点的速度的最小值为.因此在最高点杯子和水的速度至少应为,水才不会流出.

当杯子在最高点的速度为时,杯底对水有压力,由①式得

根据牛顿第三定律,水对杯底的压力

  对水在最高点进行受力分析找出向心力的来源,根据牛顿运动定律即可求解.

  盛在杯中的水在竖直面内做圆周运动属于没有支撑的物体在竖直平面内做圆周运动的情况,在最高点的临界速度也是,若,杯子和水就能通过圆周的最高点且水不会洒出,表演就会成功;若,重力大于水做圆周运动所需的向心力,杯里的水就会洒出.


练习册系列答案
相关题目

违法和不良信息举报电话:027-86699610 举报邮箱:58377363@163.com

精英家教网