题目内容

两辆完全相同的汽车,沿水平直路一前一后匀速行驶,速度均为v0,若前车突然以恒定的加速度刹车,在它刚停住时,后车以前车刹车时的加速度开始刹车.已知前车在刹车过程中所行的距离为s,若要保证两车在上述情况中不相撞,则两车在匀速行驶时保持的距离至少应为:

A.

s

B.2 s

C.3 s

D.4 s

答案:B
解析:

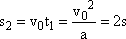
设匀速运动时两车最少应相距S,两车刹车加速度为a.前车刹车时间为t1,则v0=at1前车在此时间内前进位移为;后车在t1时间内前进位移为,之后后车刹车距离也等于s,所以两车在匀速运动阶段至少相距,正确答案B.


练习册系列答案
相关题目

违法和不良信息举报电话:027-86699610 举报邮箱:58377363@163.com

精英家教网