题目内容
如图所示,两块竖直放置的导体板间存在水平向左的匀强电场,板间距离为d.有一带电量为+q、质量为m的小球(可视为质点)以水平速度从A孔进入匀强电场,且恰好没有与右板相碰,小球最后从B孔离开匀强电场,若A、B两孔的距离为4d,重力加速度为g,求:(1)两板间的场强大小;
(2)小球从A孔进入电场时的速度;
(3)从小球进入电场到其速度达到最小值,小球电势能的变化量为多少?
【答案】分析:(1)小球水平水平方向先向右匀减速后反向匀加速,竖直方向自由落体运动,根据运动学公式列式后联立求解;
(2)根据牛顿第二定律求解出水平方向的加速度,然后根据速度位移公式求解初速度;
(3)求解出水平分速度和竖直分速度的表达式,得到合速度的表达式进行分析得到最小速度,小球电势能的变化量等于电场力做的功.
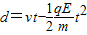
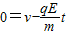
解答:解:(1)由题意可知,小球在水平方向先减速到零,然后反向加速.设小球进入A孔的速度为v,减速到右板的时间为t,则有:
水平方向:

竖直方向:
联立解得
(2)在水平方向上根据牛顿第二定律有qE=max
根据运动学公式有
联立解得
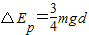
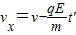
(3)小球进入电场后,在水平方向上做减速运动,即
=v-gt′
在竖直方向上做加速运动,即vy=gt'
小球在电场中的速度大小为
联立由数学知识可得
时小球速度达到最小,最小值为
;
此时粒子在水平方向的位移为:
在此过程中电场力做功为W=-qEx
而W=-△Ep
联立解得
,即粒子的电势能增加
答:(1)两板间的场强大小为
;
(2)小球从A孔进入电场时的速度为
;
(3)从小球进入电场到其速度达到最小值为
,小球电势能的增加量为
.
点评:本题关键是将小球的运动沿着水平方向和竖直方向增加分解,然后根据运动学公式、牛顿第二定律、功能关系列式求解.
(2)根据牛顿第二定律求解出水平方向的加速度,然后根据速度位移公式求解初速度;
(3)求解出水平分速度和竖直分速度的表达式,得到合速度的表达式进行分析得到最小速度,小球电势能的变化量等于电场力做的功.
解答:解:(1)由题意可知,小球在水平方向先减速到零,然后反向加速.设小球进入A孔的速度为v,减速到右板的时间为t,则有:
水平方向:
竖直方向:
联立解得
(2)在水平方向上根据牛顿第二定律有qE=max
根据运动学公式有
联立解得
(3)小球进入电场后,在水平方向上做减速运动,即
在竖直方向上做加速运动,即vy=gt'
小球在电场中的速度大小为
联立由数学知识可得
此时粒子在水平方向的位移为:
在此过程中电场力做功为W=-qEx
而W=-△Ep
联立解得
答:(1)两板间的场强大小为
(2)小球从A孔进入电场时的速度为
(3)从小球进入电场到其速度达到最小值为
点评:本题关键是将小球的运动沿着水平方向和竖直方向增加分解,然后根据运动学公式、牛顿第二定律、功能关系列式求解.
练习册系列答案
相关题目