题目内容
如图所示的示波管,电子由阴极K发射后,初速度可以忽略,经加速后水平飞入偏转电场,最后打在荧光屏上,已知加速电压为U1,偏转电压为U2,两偏转极板间距为d,板长为L,从偏转极板到荧光屏的距离为D,不计重力,求:(1)电子飞出偏转电场时的偏转距离y;
(2)电子打在荧光屏上的偏距OP.
【答案】分析:根据动能定理求出电子射入偏转电场时的速度,电子进入偏转电场后做类平抛运动,根据动力学知识求出离开偏转电场时的偏转位移,离开偏转电场时速度的反向延长线经过偏转电场中轴线的中点,根据这一推论,利用比例式求出偏距OP.
解答:解:(1)设电子到达O1时的速度为v,则
eU1=
mv2
设电子在偏转电场MN中运动的加速度为a,运动时间为t,则
a=
t=
则y=
①
(2)由图中三角形相似得:
②
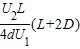
由①②得:
=
答:(1)电子飞出偏转电场时的偏转距离y为
;
(2)电子打在荧光屏上的偏距OP为
.
点评:解决本题的关键知道电子的运动规律,现在加速电场中加速,然后进入偏转电场做类平抛运动,离开偏转电场做匀速直线运动.
解答:解:(1)设电子到达O1时的速度为v,则
eU1=
设电子在偏转电场MN中运动的加速度为a,运动时间为t,则
a=
t=
则y=
(2)由图中三角形相似得:
由①②得:
答:(1)电子飞出偏转电场时的偏转距离y为
(2)电子打在荧光屏上的偏距OP为
点评:解决本题的关键知道电子的运动规律,现在加速电场中加速,然后进入偏转电场做类平抛运动,离开偏转电场做匀速直线运动.
练习册系列答案
相关题目
- QQ空间
- 新浪微博
- 百度搜藏
- 人人网
- 腾讯微博
- 开心网
- 腾讯朋友
- 百度空间
- 豆瓣网
- 搜狐微博
- MSN
- QQ收藏
- 我的淘宝
- 百度贴吧
- 搜狐白社会
- 更多...
百度分享
一个有一定厚度的圆盘,可以绕通过中心垂直于盘面的水平轴转动,用下面的方法测量它匀速转动时的角速度。
实验器材:电磁打点计时器、米尺、纸带、复写纸片。
实验步骤:
(1)如图1所示,将电磁打点计时器固定在桌面上,将纸带的一端穿过打点计时器的限位孔后,固定在待测圆盘的侧面上,使得圆盘转动时,纸带可以卷在圆盘侧面上。
(2)启动控制装置使圆盘转动,同时接通电源,打点计时器开始打点。
(3)经过一段时间,停止转动和打点,取下纸带,进行测量。
① 由已知量和测得量表示的角速度的表达式为ω= 。式中各量的意义是:
.
② 某次实验测得圆盘半径r=5.50×10-2m,得到纸带的一段如图2所示,求得角速度为 。
(1) (2)6.8/s。 |