题目内容
某球状行星具有均匀的密度ρ,若在赤道上随行星一起转动的物体对行星表面的压力恰好为零,则该行星自转周期为(万有引力常量为G)
[ ]
A.
B.
C.
D.
答案:C
解析:
解析:
|
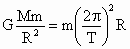
由万有引力定律可知 所以 又 代入整理得 |
练习册系列答案
相关题目