题目内容
Ⅰ.像打点计时器一样,光电计时器也是一种研究物体运动情况的常见计时仪器,其结构如图甲如示a、b分别是光电门的激光发射和接收装置.当有物体从a、b间通过时,光电计时器就可以显示物体的挡光时间.现利用图乙所示装置设计一个“探究物体运动的加速度与合外力、质量关系的实验,图中NQ是水平桌面、PQ是一端带有滑轮的长木板,1、2是固定在木板上的两个光电门(与之连接的两上光电计时器没有画出).小车上固定着用于挡光的窄片K,让小车从木板的顶端滑下,光电门各自连接的计时器显示窄片K的挡光时间分别为t1和t2.(1)用游标卡尺测量窄片K的宽度d(已知L>>d),光电门1,2各自连接的计时器显示的挡光时间分别为t1、t2.则窄片K通过光电门1的速度表达式v1=______.
(2)用米尺测量两光电门间距为L,则小车的加速度表达式a=______1-
| t | 22 |
| t | 21 |
| t | 22 |
【答案】分析:Ⅰ.(1)利用光电门测速度时是利用了平均速度代替瞬时速度的原理;
(2)根据运动学公式v2-v2=2as,可以写出加速度的表达式;
(3)该实验中是通过把木板一端抬高,让小车的重力沿斜面的分力与摩擦力平衡的方法进行的;
(4)根据牛顿第二定律结合图象特点即可正确解答.
Ⅱ.
①在匀变速直线运动中,中间时刻的瞬时速度等于该过程中的平均速度,据此可以求出C点的速度大小
②采用逐差法可有效利用数据,再采用求平均值的办法可更好地减小误差
③重物下落过程中受重力和阻力,根据牛顿第二定律求出平均阻力大小.
解答:解:(1)由于窄片K的宽度为d很小,因此可以利用其平均速度代替物体的瞬时速度,故窄片K通过光电门1的速度表达式为:v1=
(2)窄片K通过光电门2的速度表达式:v2=
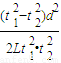
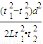
根据运动学公式v2-v2=2as有:a=
=
(3)在该实验中,平衡摩擦力的思路是:抬高木板一端,让小车的重力沿斜面分力与摩擦力平衡,当观察到小车匀速运动时,说明摩擦力已经被平衡,故具体操作是:不挂砂和砂桶,调节长木板的倾角,轻推小车让其下滑,直至两个光电门的读数相等为止.
(4)根据丙图可知,当没有挂砂和砂桶时,小车产生了加速度,因此说明平衡摩擦力时木板倾角太大;随着F的增大,即砂和砂桶质量的增大,不在满足砂和砂桶远小于小车的质量,因此曲线上部出现弯曲现象.
Ⅱ.(1)如果振针的位置过低,打出的纸带的点迹是短线,还会对纸带产生较大阻力;
(2):①在匀变速直线运动中,中间时刻的瞬时速度等于该过程中的平均速度,故B点的速度为:
VB=
②利用匀变速直线运动的推论相邻相等时间内的位移差△x=at2
所以,xm-xn=(m-n)aT2,本着有效利用数据,采用求平均值的办法减小误差的办法,
本实验中,g=
③还需要测量的物理量是重锤的质量m.
重物下落过程中受重力mg和阻力F,根据牛顿第二定律得:
F合=mg-F=mg′
∴F=mg-mg′=m〔g′-
〕
故答案为:Ⅰ.(1)
(2)
(3)不挂砂和砂桶,调节长木板的倾角,轻推小车让其下滑,直至两个光电门的读数相等为止.
(4)平衡摩擦力时木板倾角太大;没有满足小车质量远大于砂和砂桶的质量.
Ⅱ.(1)短线,较大阻力,
(2)①
.②
.
③重锤的质量m,m〔g′-
〕
点评:对于实验问题一定要明确实验原理,并且亲自动手实验,熟练应用所学基本规律解决实验问题.
(2)根据运动学公式v2-v2=2as,可以写出加速度的表达式;
(3)该实验中是通过把木板一端抬高,让小车的重力沿斜面的分力与摩擦力平衡的方法进行的;
(4)根据牛顿第二定律结合图象特点即可正确解答.
Ⅱ.
①在匀变速直线运动中,中间时刻的瞬时速度等于该过程中的平均速度,据此可以求出C点的速度大小
②采用逐差法可有效利用数据,再采用求平均值的办法可更好地减小误差
③重物下落过程中受重力和阻力,根据牛顿第二定律求出平均阻力大小.
解答:解:(1)由于窄片K的宽度为d很小,因此可以利用其平均速度代替物体的瞬时速度,故窄片K通过光电门1的速度表达式为:v1=
(2)窄片K通过光电门2的速度表达式:v2=
根据运动学公式v2-v2=2as有:a=
(3)在该实验中,平衡摩擦力的思路是:抬高木板一端,让小车的重力沿斜面分力与摩擦力平衡,当观察到小车匀速运动时,说明摩擦力已经被平衡,故具体操作是:不挂砂和砂桶,调节长木板的倾角,轻推小车让其下滑,直至两个光电门的读数相等为止.
(4)根据丙图可知,当没有挂砂和砂桶时,小车产生了加速度,因此说明平衡摩擦力时木板倾角太大;随着F的增大,即砂和砂桶质量的增大,不在满足砂和砂桶远小于小车的质量,因此曲线上部出现弯曲现象.
Ⅱ.(1)如果振针的位置过低,打出的纸带的点迹是短线,还会对纸带产生较大阻力;
(2):①在匀变速直线运动中,中间时刻的瞬时速度等于该过程中的平均速度,故B点的速度为:
VB=
②利用匀变速直线运动的推论相邻相等时间内的位移差△x=at2
所以,xm-xn=(m-n)aT2,本着有效利用数据,采用求平均值的办法减小误差的办法,
本实验中,g=
③还需要测量的物理量是重锤的质量m.
重物下落过程中受重力mg和阻力F,根据牛顿第二定律得:
F合=mg-F=mg′
∴F=mg-mg′=m〔g′-
故答案为:Ⅰ.(1)
(3)不挂砂和砂桶,调节长木板的倾角,轻推小车让其下滑,直至两个光电门的读数相等为止.
(4)平衡摩擦力时木板倾角太大;没有满足小车质量远大于砂和砂桶的质量.
Ⅱ.(1)短线,较大阻力,
(2)①
③重锤的质量m,m〔g′-
点评:对于实验问题一定要明确实验原理,并且亲自动手实验,熟练应用所学基本规律解决实验问题.
练习册系列答案
相关题目