题目内容

氦氖激光器能产生三种波长的激光,其中两种波长分别为λ1=0.6328µm,λ2=3.39µm,已知波长为λ1的激光是氖原子在能级间隔为△E1=1.96eV的两个能级之间跃迁产生的.用△E2表示产生波长为λ2的激光所对应的跃迁的能级间隔,则△E2的近似值为( )
A.10.50eV
B.0.98eV
C.0.53eV
D.0.36eV
【答案】分析:激光光子的能量E=hγ=,激光是氖原子在能级间隔为△E两个能级之间跃迁产生的,则有△E=,根据此式分别研究即可求解.
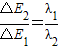
解答:解:由题分析得,△E1=,△E2=,则得,,代入解得,△E2≈0.36eV.
故选D
点评:本题关键要掌握光子的能量公式E=hγ=和玻尔能量跃迁原理.
练习册系列答案
相关题目

违法和不良信息举报电话:027-86699610 举报邮箱:58377363@163.com

精英家教网