题目内容

跳伞运动员做低空跳伞表演,他在离地面224 m高处,由静止开始在竖直方向做自由落体运动.一段时间后,立即打开降落伞,以12.5 m/s2的加速度匀减速下降,为了运动员的安全,要求运动员落地速度最大不得超过5 m/s(g取10 m/s2).

(1)求运动员展开伞时,离地面高度至少为多少?着地时相当于从多高处自由落下?

(2)求运动员在空中的最短时间是多少?

答案:
解析:

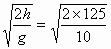
  (1)设运动员做自由落体运动的高度为h时速度为v,此时打开伞开始匀减速运动,落地时速度刚好为5 m/s,这种情况运动员在空中运动时间最短,则有v22gh  (1分)

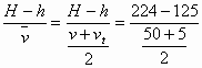
  vt2v2=2a(Hh)

  由①②两式解得h=125 m,v=50 m/s  (1分)

  为安全着地,展开伞时的高度至少为Hh=224 m-125 m=99 m  (1分)

  他以5 m/s的速度着地时,相当于从h′高处自由落下,由vt2=2gh

  得m=1.25 m  (1分)

  (2)他在空中自由下落的时间为t1s=5 s  (1分)

  他减速运动的时间为t2m/s=3.6 s  (1分)

  他在空中的最短时间为tt1t2=8.6 s  (2分)


练习册系列答案
相关题目

违法和不良信息举报电话:027-86699610 举报邮箱:58377363@163.com

精英家教网