题目内容
土星周围有许多大小不等的岩石颗粒,其绕土星的运动可视为圆周运动.其中有两个岩石颗粒A和B与土星中心距离分别为rA=8.0×104km和r B=1.2×105km.忽略所有岩石颗粒间的相互作用,结果可用根式表示.求:(1)岩石颗粒A和B的线速度之比;
(2)岩石颗粒A和B的周期之比.
【答案】分析:(1)岩石颗粒绕土星做圆周运动的向心力来源于土星的万有引力,由牛顿第二定律和万有引力定律列式,得到线速度的表达式,即可求解线速度之比.
(2)由圆周运动的基本规律求周期之比.
解答:解:(1)设土星质量为M,颗粒质量为m,颗粒距土星中心距离为r,线速度为v,由牛顿第二定律和万有引力定律:

解得
对于A、B两颗粒分别有
,
解得
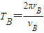
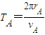
(2)设颗粒绕土星作圆周运动的周期为T,则:
对于A、B两颗粒分别有
,
解得
答:
(1)岩石颗粒A和B的线速度之比为
:2;
(2)岩石颗粒A和B的周期之比是2
:9.
点评:此题是卫星类型,抓住万有引力等于向心力及圆周运动的基本规律,即可进行求解.
(2)由圆周运动的基本规律求周期之比.
解答:解:(1)设土星质量为M,颗粒质量为m,颗粒距土星中心距离为r,线速度为v,由牛顿第二定律和万有引力定律:
解得
对于A、B两颗粒分别有
解得
(2)设颗粒绕土星作圆周运动的周期为T,则:
对于A、B两颗粒分别有
解得
答:
(1)岩石颗粒A和B的线速度之比为
(2)岩石颗粒A和B的周期之比是2
点评:此题是卫星类型,抓住万有引力等于向心力及圆周运动的基本规律,即可进行求解.
练习册系列答案
相关题目