题目内容
一辆汽车在十字路口等候绿灯,当绿灯亮时,汽车以3.0m/s2的加速度开始行驶,恰在此时一辆自行车以6.0m/s的速度匀速驶来,从后面赶过汽车.求:(1)什么时候汽车追上自行车?
(2)汽车追上自行车时,汽车的速度是多大?
【答案】分析:(1)根据位移相等列方程,即可求出汽车追上自行车的时间.
(2)知道时间,由速度公式可以求出汽车追上自行车时,汽车的速度.
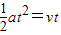
解答:解:(1)两者位移相等时追上,因此有:

解得:t=4.0s.
故经过t=4s后汽车可以追上自行车.
(2)汽车的速度为v,由速度公式,有:v=at
解得:v=12m/s.
所以汽车追上自行车时,汽车的速度是v=12m/s.
点评:本题在追击问题中考查了运动学基本公式的应用,对于这些基本公式注意平时加强理解和应用.
(2)知道时间,由速度公式可以求出汽车追上自行车时,汽车的速度.
解答:解:(1)两者位移相等时追上,因此有:
解得:t=4.0s.
故经过t=4s后汽车可以追上自行车.
(2)汽车的速度为v,由速度公式,有:v=at
解得:v=12m/s.
所以汽车追上自行车时,汽车的速度是v=12m/s.
点评:本题在追击问题中考查了运动学基本公式的应用,对于这些基本公式注意平时加强理解和应用.
练习册系列答案
相关题目