题目内容
某同学在研究性学习中充分利用打点计时器针对自由落体运动进行了如下三个问题的深入研究:(1)当地的重力加速度是多少?
(2)如何测定物体下落过程中某一位置的速度?
(3)下落过程中机械能是否守恒?
此同学依据这些问题设计了如下实验方案:
如图甲所示,将打点计时器(频率为f)固定在铁架台上,先打开电源而后释放重物,重物带动纸带从静止开始下落,打出几条纸带并在其中选出一条比较理想的纸带如图乙所示.在纸带上取出若干计数点,其中每两个计数点之间有四个点未画出.
①所需器材有打点计时器(带导线)、纸带、复写纸、带铁夹的铁架台和带夹子的重物,此外还需______(填字母代号)中的器材.
A.交流电源、天平及毫米刻度尺 B.交流电源、毫米刻度尺
C.交流电源、毫米刻度尺及砝码 D.交流电源、天平及砝码
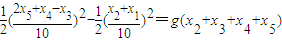
②计算当地重力加速度g=______.(用f、x2、x5表示)
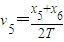
③如图乙所示,打计数点5时重物的速度v5=______.(用f、x3、x4、x5表示)
④该同学选择打计数点5时重物所在的位置为重力势能的零势能点后,若验证从计数点1至计数点5两点间重物的机械能守恒,其表达式为______.
【答案】分析:①根据用打点计时器测重力加速度的原理,和实验的步骤可以判断遗漏的器材;
②根据逐差法即△x=aT2可以求解加速度的大小;
③根据匀变速直线运动中时间中点的速度等于该过程中的平均速度,可以求出打计数点5时重物的速度;
④求得打计数点1、5时重物的速度,再求动能的增加量为△Ek,根据重力势能变化量△EP=mgh,确定高度h求解.
解答:解:①打点计时器需接交流电源.重力加速度与物体的质量无关,所以不要天平和砝码,计算速度需要测相邻计数的距离,需要刻度尺.
故选B.
②根据逐差法,由△x=aT2得:
g=
③根据匀变速直线运动中时间中点的速度等于该过程中的平均速度,所以打计数点5时重物的速度为:
=
④根据匀变速直线运动中时间中点的速度等于该过程中的平均速度,所以打计数点1时重物的速度为:

从计数点1至计数点5两点间重物的动能变化:
=
从计数点1至计数点5两点间重力势能的减少量为△EP=mgh=mg(s2+s3+s4+s5)
所以若验证从计数点1至计数点5两点间重物的机械能守恒,其表达式为:△EP=△EK
即:
点评:据用打点计时器测重力加速度的实验原理,可以判断实验需要的器材,同时还要知道利用图象处理数据可以使实验结果简单直观的展现出来;本题容易出错的地方是
,要注意区分电源的周期与计数点时间间隔,式中△x=aT2中T是计数点时间间隔.
②根据逐差法即△x=aT2可以求解加速度的大小;
③根据匀变速直线运动中时间中点的速度等于该过程中的平均速度,可以求出打计数点5时重物的速度;
④求得打计数点1、5时重物的速度,再求动能的增加量为△Ek,根据重力势能变化量△EP=mgh,确定高度h求解.
解答:解:①打点计时器需接交流电源.重力加速度与物体的质量无关,所以不要天平和砝码,计算速度需要测相邻计数的距离,需要刻度尺.
故选B.
②根据逐差法,由△x=aT2得:
g=
③根据匀变速直线运动中时间中点的速度等于该过程中的平均速度,所以打计数点5时重物的速度为:
④根据匀变速直线运动中时间中点的速度等于该过程中的平均速度,所以打计数点1时重物的速度为:
从计数点1至计数点5两点间重物的动能变化:
从计数点1至计数点5两点间重力势能的减少量为△EP=mgh=mg(s2+s3+s4+s5)
所以若验证从计数点1至计数点5两点间重物的机械能守恒,其表达式为:△EP=△EK
即:
点评:据用打点计时器测重力加速度的实验原理,可以判断实验需要的器材,同时还要知道利用图象处理数据可以使实验结果简单直观的展现出来;本题容易出错的地方是
练习册系列答案
相关题目