题目内容

如图所示,在S点的电量为q,质量为m的静止带电粒子,被加速电压为U,极板间距离为d的匀强电场加速后,从正中央垂直射入电压为U的匀强偏转电场,偏转极板长度和极板距离均为L,带电粒子离开偏转电场后即进入一个垂直纸面方向的匀强磁场,其磁感应强度为B.若不计重力影响,欲使带电粒子通过某路径返回S点,求:

(1)匀强磁场的宽度D至少为多少?

(2)该带电粒子周期性运动的周期T是多少?偏转电压正负极多长时间变换一次方向?

答案:
解析:

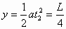
  解析:如图所示,电场对粒子加速,由动能定理得:

    ①

  由于粒子在电场加速过程中做匀加速直线运动,则加速的时间为:

    ②

  粒子在偏转电场中做类似平抛运动,其加速度为:

  粒子通过偏转电场的时间为:  ③

  粒子在偏转电场中的侧移距离为:  ④

  侧向速度为:

  则粒子射出偏转电场时的速度为:  ⑤

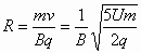
  以速度进入磁场做匀速度圆周运动的洛仑兹力为向心力,设运动半径为R:

      ⑥

  则磁场宽度为:

    ⑦

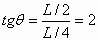
  粒子在磁场中做匀速圆周运动的周期为:

    所以

  所以粒子在磁场中运动的时间为:

    ⑧

  粒子从S出发到回到S的周期T为:

  

  偏转电压正负极换向时间为:

  


练习册系列答案
相关题目
(1)在某一力学实验中,打出的纸带如图所示,相邻计数点的时间间隔是T.测出纸带各计数点之间的距离分别为s1、s2、s3、s4,为了使由实验数据计算的结果更精确些,加速度的平均值为a=
 
;打下C点时的速度vC=
 

(2)在“测定某电阻丝的电阻率”实验中
①用螺旋测微器测量一种电阻值很大的电阻丝直径,如图2所示,则电阻丝的直径是
 
 mm.
②用多用表的欧姆挡粗测电阻丝的阻值,已知此电阻丝的阻值约为20kΩ.
下面给出的操作步骤中,合理的实验步骤顺序是
 
(填写相应的字母)
a.将两表笔短接,调节欧姆挡调零旋钮使指针对准刻度盘上欧姆挡的零刻度,而后断开两表笔
b.将两表笔分别连接到被测电阻丝的两端,读出阻值后,断开两表笔
c.旋转选择开关,使其尖端对准欧姆挡的“×1k”挡
d.旋转选择开关,使其尖端对准交流500V挡,并拔出两表笔
③若用电流表和电压表精确测量此电阻丝的阻值,实验室提供下列可供选用的器材:
电压表V(量3V,内阻约50kΩ)
电流表A1(量程200 μA,内阻约200Ω)
电流表A2(量程5mA,内阻约20Ω)
电流表A3(量程0.6A,内阻约1Ω)
滑动变阻器R(最大值500Ω)
电源E(电动势4.5V,内阻约0.2Ω)
开关S导线
a.在所提供的电流表中应选用
 
(填字母代号).
b.在虚线框中画出测电阻的实验电路.
④根据测得的电阻丝的长度、直径和阻值,即可求出该电阻丝的电阻率.
精英家教网
(1)在某一力学实验中,打出的纸带如图所示,相邻计数点的时间间隔是T.测出纸带各计数点之间的距离分别为s1、s2、s3、s4,为了使由实验数据计算的结果更精确些,加速度的平均值为a=______;打下C点时的速度vC=______.
(2)在“测定某电阻丝的电阻率”实验中
①用螺旋测微器测量一种电阻值很大的电阻丝直径,如图2所示,则电阻丝的直径是______ mm.
②用多用表的欧姆挡粗测电阻丝的阻值,已知此电阻丝的阻值约为20kΩ.
下面给出的操作步骤中,合理的实验步骤顺序是______(填写相应的字母)
a.将两表笔短接,调节欧姆挡调零旋钮使指针对准刻度盘上欧姆挡的零刻度,而后断开两表笔
b.将两表笔分别连接到被测电阻丝的两端,读出阻值后,断开两表笔
c.旋转选择开关,使其尖端对准欧姆挡的“×1k”挡
d.旋转选择开关,使其尖端对准交流500V挡,并拔出两表笔
③若用电流表和电压表精确测量此电阻丝的阻值,实验室提供下列可供选用的器材:
电压表V(量3V,内阻约50kΩ)
电流表A1(量程200 μA,内阻约200Ω)
电流表A2(量程5mA,内阻约20Ω)
电流表A3(量程0.6A,内阻约1Ω)
滑动变阻器R(最大值500Ω)
电源E(电动势4.5V,内阻约0.2Ω)
开关S导线
a.在所提供的电流表中应选用______(填字母代号).
b.在虚线框中画出测电阻的实验电路.
④根据测得的电阻丝的长度、直径和阻值,即可求出该电阻丝的电阻率.

 选做题(请从A、B和C三小题中选定两小题作答,并在答题卡上把所选题目对应字母后的方框涂满涂黑.如都作答,则按A、B两小题评分.)

A.(选修模块3-3)(12分)

(1) (4分)下列说法中正确的是              

A.当两个分子间的距离为r0(平衡位置)时,分子力为零,分子势能最小

B.扩散现象和布朗运动的剧烈程度都与温度有关,所以扩散现象和布朗运动也叫做热运动

C.第二类永动机不违反能量守恒定律,但违反了热力学第二定律

D.自然界中与热现象有关的自发的能量转化过程具有方向性,虽然总能量守恒,但能量品质在退化

(2)(4分)如图所示,在开口向上的竖直放置圆筒形容器内用质量为m活塞密封一部分气体,活塞与容器壁间能无摩擦滑动,大气压恒为p0,容器的横截面积为S,密封气体的压强是     ,当气体从外界吸收热量Q后,活塞缓慢上升d后再次平衡,在此过程中密闭气体的内能增加     

(3)晶须是一种发展中的高强度材料,它是一些非常细的完整的丝状(横截面为圆形)晶体.现有一根铁(Fe)晶,直径为d,能承受的最大拉力为F.试求刚要拉断时原子间的作用力f.(已知铁的密度ρ,铁的摩尔质量M,阿伏伽德罗常数为NA,忽略铁分子间的空隙)

 

B.(选修模块3-4)(12分)

(l)(4分)下列有关光现象的说法中正确的是              

 A.同种介质中,光波长越短,传播速度越快

 B.薄膜干涉条纹可以看着是等厚线

 C.眼睛直接观察全息照片可以看到立体图象

D.宇航员驾驶一艘接近光速的宇宙飞船飞行时,他不能感知自身质量的增大

(2)(4分)沿x轴正方向传播的简谐横波在t=0时的波形如图所示,PQ两个质点的平衡位置分别位于x=3.5m和x=6.5m处。在t1=0.5s时,质点P此后恰好第二次处于波峰位置;则t2=        s时,质点Q此后第二次在平衡位置且向上运动;当t3=0.9s时,质点P的位移为__    ____cm。

(3)(4分) 如图所示,透明介质球球心位于O,半径为R,光线DC平行于直径AOB射到介质的C点,DC与AB的距离H=R/2,若DC光线进入介质球后经一次反射再次回到介质球的界面时,从球内折射出的光线与入射光线平行,求介质的折射率。

 

C.(选修模块3-5)(12分)

(1)(4分)下列说法正确的是              

A.任何一种金属都存在一个“最大波长”,入射光波长小于这个波长,才能产生光电效应

B.氢原子辐射出一个光子后能量减小,核外电子的运动加速度减小

C.用电子流工作的显微镜比用相同速度的质子流工作的显微镜分辨率低

D.核力的饱和性决定了原子核太大,那一定是不稳定的

(2)(4分)质量为m1的锂核()俘获一个质量为m2的质子后衰变为两个粒子,粒子质量为m3,已知光在真空中速度为c.

①写出核反应方程                            

②该过程中释放的核能为ΔE =                      

 (3) (4分)在粒子散射实验中,质量为m粒子以初动能E0与质量M的金核发生对心碰撞。若金核初时静止且自由,求粒子与金核间距离最近时电势能。

 

 

违法和不良信息举报电话:027-86699610 举报邮箱:58377363@163.com

精英家教网