题目内容
如图所示,一物体自倾角为θ的固定斜面顶端沿水平方向以v、2v的水平速度先后两次抛出,均落在斜面上.从抛出到落在斜面上,物体和斜面接触时速度与水平方向的夹角为φ1、φ2,水平距离为x1、x2,下落高度为y1、y2,则下列关系中不正确的是( )A.tanφ1=2tanθ
B.φ1=φ2
C.x1:x2=1:2
D.y1:y2=1:4
【答案】分析:A、tanφ1是竖直方向上的分速度与水平方向分速度的比值,根据速度公式分别求出两个方向上的分速度,从而得出tanφ1的值.tanθ是竖直位移与水平位移的比值,分别求出竖直方向和水平方向上的位移,得出tanθ值.即可知道tanφ1与tanθ的关系.
B、物体落在斜面上,竖直方向上的位移与水平方向上的位移的比值是定值,
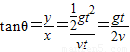
,得t=
,知初速度增大为原来的两倍,时间变为原来的两倍.再根据
,可知φ1与φ2的关系.
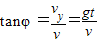
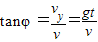
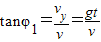
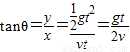
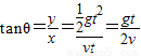
解答:解:A、
,
,可知tanφ1=2tanθ.故A正确.
B、根据
,得t=
,知道时间与平抛运动的初速度有关.
,则初速度变为原来的两倍,则时间变为原来的两倍,速度与水平方向的夹角不变.所以φ1=φ2.故B正确.
C、因为初速度变为原来的两倍,运行的时间也变为原来的两倍,根据x=vt,水平位移变为原来的4倍.因此x1:x2=1:4.故C错误.
D、根据
,初速度变为原来的两倍,运行时间变为原来的两倍,则竖直位移变为原来的4倍.因此y1:y2=1:4.故D正确.
本题选错误的,故选C.
点评:解决本题的关键知道物体落在斜面上,竖直方向上的位移与水平方向上的位移是一定值.
B、物体落在斜面上,竖直方向上的位移与水平方向上的位移的比值是定值,
解答:解:A、
B、根据
C、因为初速度变为原来的两倍,运行的时间也变为原来的两倍,根据x=vt,水平位移变为原来的4倍.因此x1:x2=1:4.故C错误.
D、根据
本题选错误的,故选C.
点评:解决本题的关键知道物体落在斜面上,竖直方向上的位移与水平方向上的位移是一定值.
练习册系列答案
相关题目
| A、tanφ=sinθ | B、tanφ=cosθ | C、tanφ=tanθ | D、tanφ=2tanθ |
| A、tan φ=sin θ | B、tan φ=cos θ | C、tan φ=tanθ | D、tan φ=2tan θ |