题目内容
一辆汽车做直线运动,其速度时间图象如图所示,在0~t和t~3t两段时间内( )A.加速度大小之比为3:1
B.位移大小之比为1:2
C.平均速度大小之比为2:1
D.平均速度大小之比为1:1
【答案】分析:速度-时间图象的斜率表示加速度.由图直接读出速度.求出前24s内的位移,再求解平均速度.
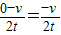
解答:解:A、斜率表示加速度,所以在0~t内加速度为:a=
=
,t~3t内加速度为:a=
,所以加速度大小之比为:2:1,故A错误;
B、面积表示位移,所以位移之比为:1:2,故B正确;
C、平均速度等于位移除以时间,位移之比为1:2,时间之比也为1:2,所以平均速度大小相等,故C错误,D正确.
故选BD
点评:本题考查基本的读图能力,抓住速度图象的斜率表示加速度,面积表示位移就能正确解答.
解答:解:A、斜率表示加速度,所以在0~t内加速度为:a=
B、面积表示位移,所以位移之比为:1:2,故B正确;
C、平均速度等于位移除以时间,位移之比为1:2,时间之比也为1:2,所以平均速度大小相等,故C错误,D正确.
故选BD
点评:本题考查基本的读图能力,抓住速度图象的斜率表示加速度,面积表示位移就能正确解答.
练习册系列答案
相关题目