ÌâÄ¿ÄÚÈÝ
ƽÐйìµÀPQ¡¢MNÁ½¶Ë¸÷½ÓÒ»¸öµçÈÈË¿£¬×èÖµR1=R2=8¦¸£¬¹ìµÀ¼ä¾àL=1m£¬¹ìµÀºÜ³¤£¬±¾Éíµç×è²»¼Æ£®¹ìµÀ¼ä´Å³¡°´ÈçͼËùʾµÄ¹æÂÉ·Ö²¼£¬ÆäÖÐÿ¶Î´¹Ö±Ö½ÃæÏòÀïºÍÏòÍâµÄ´Å³¡ÇøÓò¿í¶ÈΪ2cm£®´Å¸ÐӦǿ¶ÈµÄ´óС¾ùΪB=1T£¬Ã¿¶ÎÎ޴ų¡µÄÇøÓò¿í¶ÈΪ1cm£¬µ¼Ìå°ôab±¾Éíµç×èr=1¦¸£¬Óë¹ìµÀ½Ó´¥Á¼ºÃ£®ÏÖÈÃabÒÔv=10m/sµÄËÙ¶ÈÏòÓÒÔÈËÙÔ˶¯£®£¨1£©µ±ab´¦Ôڴų¡ÇøÓòʱ£¬abÖеĵçÁ÷Ϊ¶à´ó£¿abÁ½¶ËµÄµçѹΪ¶à´ó£¿abËùÊܴų¡Á¦Îª¶à´ó£¿
£¨2£©ÔÚ´ðÌ⿨ÉÏ»³öͨ¹ýabµÄµçÁ÷Óëʱ¼äµÄ¹ØÏµÍ¼Ïó£¨ÒªÇ󣺢ÙabÖпªÊ¼ÓеçÁ÷ʱΪÁãʱ¿Ì£»¢ÚabÖеçÁ÷aÁ÷ÏòbΪÕý£»¢ÛÔÚ×ø±êÖáÉϱê³ö¾ßÌåÊýÖµ£»¢ÜÖÁÉÙ»2¸öÖÜÆÚ£©£®
£¨3£©Õû¸ö¹ý³ÌÖУ®Í¨¹ýabµÄµçÁ÷µÄÓÐЧֵΪ¶à´ó£¿
¡¾´ð°¸¡¿·ÖÎö£º£¨1£©°ôabÏ൱ÓÚµçÔ´£¬Á½¸öÍâµç×è²¢Áª£»¸ù¾ÝÇиʽÇó½âµç¶¯ÊÆ£¬È»ºó¸ù¾Ý±ÕºÏµç·ŷķ¶¨ÂÉÇó½âµçÁ÷£¬²¢½øÒ»²½È·¶¨Â·¶ËµçѹºÍ°²ÅàÁ¦£®
£¨2£©ÏÈÇó½â³öÿ¸öÖÜÆÚµÄµçÁ÷Çé¿ö£¬È»ºó¸ù¾ÝÓÐЧֵ¶¨ÒåÇó½â£®
½â´ð£º½â£º
£¨1£©¸ÐÓ¦µç¶¯ÊÆE=BLv=10V
Íâµç×è
abÖеĵçÁ÷
abÁ½¶ËµÄµçѹΪU=IR=8V
abËùÊܵݲÅàÁ¦ÎªF=BIL=2N
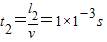
£¨2£©abÔڴų¡ÇøÓòÔ˶¯Ê±¼ä
ÔÚÎ޴ų¡ÇøÓòÔ˶¯Ê±¼ä
ͨ¹ýabµÄµçÁ÷Óëʱ¼äµÄ¹ØÏµÍ¼ÏóÈçÏÂͼ

£¨3£©abÖн»Á÷µçµÄÖÜÆÚT=2£¨t1+t2£©=6×10-3s
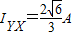
Óɽ»Á÷µçÓÐЧֵµÄ¶¨Ò壬¿ÉµÃ
¼´
´ð£º£¨1£©µ±ab´¦Ôڴų¡ÇøÓòʱ£¬abÖеĵçÁ÷ÊÇ2A£¬abÁ½¶ËµÄµçѹΪ8V£¬abËùÊܴų¡Á¦Îª2N£»
£¨2£©Í¼ÏóÈçͼËùʾ£®
£¨3£©Õû¸ö¹ý³ÌÖУ¬Í¨¹ýabµÄµçÁ÷Êǽ»±äµçÁ÷£¬ÔòÆäÓÐЧֵΪ
A£®
µãÆÀ£º±¾Ìâ¹Ø¼üÀíÇåµç·½á¹¹£¬È»ºó¸ù¾Ý±ÕºÏµç·ŷķ¶¨ÂÉ¡¢Çиʽ¡¢ÓÐЧֵ¶¨ÒåÁÐʽÇó½â£¬²»ÄÑ£®
£¨2£©ÏÈÇó½â³öÿ¸öÖÜÆÚµÄµçÁ÷Çé¿ö£¬È»ºó¸ù¾ÝÓÐЧֵ¶¨ÒåÇó½â£®
½â´ð£º½â£º
£¨1£©¸ÐÓ¦µç¶¯ÊÆE=BLv=10V
Íâµç×è
abÖеĵçÁ÷
abÁ½¶ËµÄµçѹΪU=IR=8V
abËùÊܵݲÅàÁ¦ÎªF=BIL=2N
£¨2£©abÔڴų¡ÇøÓòÔ˶¯Ê±¼ä
ÔÚÎ޴ų¡ÇøÓòÔ˶¯Ê±¼ä
ͨ¹ýabµÄµçÁ÷Óëʱ¼äµÄ¹ØÏµÍ¼ÏóÈçÏÂͼ
£¨3£©abÖн»Á÷µçµÄÖÜÆÚT=2£¨t1+t2£©=6×10-3s
Óɽ»Á÷µçÓÐЧֵµÄ¶¨Ò壬¿ÉµÃ
¼´
´ð£º£¨1£©µ±ab´¦Ôڴų¡ÇøÓòʱ£¬abÖеĵçÁ÷ÊÇ2A£¬abÁ½¶ËµÄµçѹΪ8V£¬abËùÊܴų¡Á¦Îª2N£»
£¨2£©Í¼ÏóÈçͼËùʾ£®
£¨3£©Õû¸ö¹ý³ÌÖУ¬Í¨¹ýabµÄµçÁ÷Êǽ»±äµçÁ÷£¬ÔòÆäÓÐЧֵΪ
µãÆÀ£º±¾Ìâ¹Ø¼üÀíÇåµç·½á¹¹£¬È»ºó¸ù¾Ý±ÕºÏµç·ŷķ¶¨ÂÉ¡¢Çиʽ¡¢ÓÐЧֵ¶¨ÒåÁÐʽÇó½â£¬²»ÄÑ£®
Á·Ï°²áϵÁдð°¸
Ïà¹ØÌâÄ¿