题目内容
如图所示,一个半径为R的绝缘光滑半圆环,竖直放在场强为E的匀强电场中,电场方向竖直向下.在环壁边缘处有一质量为m,带有正电荷q的小球,由静止开始下滑,求小球经过最低点时对环底的压力.
【答案】分析:小球由静止开始下滑的过程中,重力和电场力做功,由动能定理求出小球经过最低点时的速度.小球经过最低点时,由重力、电场力和轨道的支持力的合力提供向心力,由牛顿运动定律求解小球经过最低点时对环底的压力.
解答:解:小球由静止开始下滑的过程中,由动能定理得
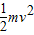
mgR+qER=
①
小球经过最低点时,由重力、电场力和轨道的支持力的合力提供向心力,则有
N-mg-qE=m
②
联立①②得,轨道对小球的支持力N=3(mg+qE),则由牛顿第三定律知,小球经过最低点时对环底的压力N′=N=3(mg+qE).
答:小球经过最低点时对环底的压力为3(mg+qE).
点评:本题是动能定理和牛顿运动定律结合处理圆周运动中动力学问题,是常用的方法和思路.
解答:解:小球由静止开始下滑的过程中,由动能定理得
mgR+qER=
小球经过最低点时,由重力、电场力和轨道的支持力的合力提供向心力,则有
N-mg-qE=m
联立①②得,轨道对小球的支持力N=3(mg+qE),则由牛顿第三定律知,小球经过最低点时对环底的压力N′=N=3(mg+qE).
答:小球经过最低点时对环底的压力为3(mg+qE).
点评:本题是动能定理和牛顿运动定律结合处理圆周运动中动力学问题,是常用的方法和思路.
练习册系列答案
相关题目