题目内容
(4分)如图所示是某同学在科技活动中自制的电子秤原理图利用电压表的示数刻度指示物体的质量。托盘与电阻可忽略的弹簧相连,托盘与弹簧的质量均不计。滑动变阻器的滑动端与弹簧上端连接,当托盘中没有放物体时,电压表示数为零。设变阻器总电阻为R,总长度为L,电源电动势为E,内阻为r,限流电阻阻值为R0,弹簧劲度系数为k,若不计一切摩擦和其他阻力。求出电压表示数Ux与所称物体质量m的关系式为Ux=
![]()
Ux=![]()
【解析】
试题分析:设放上质量为m的物体时
弹簧的压缩量为x
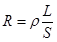
此时![]()
根据
可知
此时电阻R接入电路的阻值
![]()
这时电压表读数
![]()
各式联立得;
![]()
考点:闭合电路欧姆定律,
(1)在课本上粗测油酸分子的大小的方法叫做___________法,让油酸尽可能地在水面上散开,使其形成_______________油膜。如果把分子看做球形,这层油膜的厚度可视为油酸分子的_________。
(2)在上述实验中,油酸酒精溶液的浓度为每10
00mL溶液中有纯油酸1mL,用注射器量得1mL上述溶液有200滴,把一滴该溶液滴入盛水的表面撒有痱子粉的浅盘里,待水面稳定
后,测得油酸膜的近似轮廓如图所示,图中正方形小方格的边长为1cm,则每一滴油酸酒精溶液中含有纯油酸的体积是_______mL,油酸膜的面积是______cm2,根据上述数据,估测出油酸分子的直径是____ ____m。![]()
(3)某同学在用油膜法估测分子直径实验中,计算结果明显偏大
,可能是由于 。
| A.油酸未完全散开 |
| B.油酸中含有大量的酒精 |
| C.计算油膜面积时舍去了所有不足一格的方格[来源:学。科。网] |
| D.求每滴体积时,1mL的溶液的滴数多记了10滴 |
某同学从实验室中找到一只小灯泡,上面标称功率值为0.75 W,额定电压值已模糊不清,为了得到额定电压值,他先用欧姆表直接测出该灯泡的电阻约为2.0
,然后根据公式P=
等计算出该灯泡的额定电压为l.23 V。该同学怀疑所得电压值不准确,于是他利用下列实验器材设计了一个电路进行测量。
A.电压表V(量程3 V,内阻约l k
)
B.电流表A(量程500 mA,内阻约0.6
)
C.滑动变阻器R1(0—5
)
D.滑动变阻器R2(0—100
)
E.电源E(电动势4.0 V,内阻不计)
F.开关S和导线若干
在实验过程中,该同学将灯泡两端的电压由零缓慢地增加,当电压达到1.23 V时,发现灯泡亮度很暗,当达到2.70 V时,发现灯泡已过亮,便立即断开开关,并将所测数据记录在下列表格中。
|
次数 |
1 |
2 |
3 |
4 |
5 |
6 |
7 |
|
U/V |
0.20 |
0.60 |
1.00 |
1.40 |
1.80 |
2.20 |
2.70 |
|
I/mA |
80 |
155 |
195 |
227 |
255[来源:学*科*网Z*X*X*K] |
279 |
310 |
①请根据实验要求,在虚线框内画出电路图并标出所选滑动变阻器的字母代号。
![]()
②根据实验数据作出的U-I图线如图所示。由图象得出该灯泡的额定电压应为 ▲ V;这一结果大于l.23 V,其原因是 ▲ 。
小华同学在做“研究匀变速直线运动”实验中,将打点计时器固定在某处,在绳子拉力的作用下小车拖着穿过打点计时器的纸带在水平木板上运动,如图所示。由打点计时器得到表示小车运动过程的一条清晰纸带的一段。 如图所示,在打点计时器打出的纸带上确定出八个计数点,相邻两个计数点之间的时间间隔为0.1s,并用刻度尺测出了各计数点到0计数点的距离,图中所标数据的单位是cm。
![]()
![]()
(1)根据纸带提供的信息,小华同学已经计算出了打下1、2、3、4、5这五个计数点时小车的速度,请你帮助他计算出打下计数点6时小车的速度(结果保留3位有效数字),并填入下表。
|
计数点 |
1 |
2 |
3 |
4 |
5[来源:学&科&网Z&X&X&K] |
6 |
|
t /s |
0.1 |
0.2 |
0.3 |
0.4[来源:Z|xx|k.Com] |
0.5[来源:Z#xx#k.Com] |
0.6 |
|
v /(m·s-1) |
0.358 |
0.400 |
0.440 |
0.485 |
0.530 |
|
(2)以速度v为纵轴、时间t为横轴在坐标纸上建立直角坐标系,根据上表中的v、t数据,在坐标系中描点,并作出小车运动的v- t图象。
(3)根据v- t图象可知,在打0计数点时,小车的速度v0=___________m/s(保留3位有效数字);小车运动的加速度为________m/s2(保留2位有效数字)。