题目内容
火星与地球之间的距离总是变化的,之间的相互作用力也随之变化.假如某时刻火星与地球之间的距离为s时,相互作用力为F,经时间t后距离变为3s,则此时的相互作用力为( )A.3F
B.9F
C.F/3
D.F/9
【答案】分析:火星与地球之间的作用力为万有引力
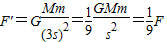
,当距离变为3s时,作用力为
.
解答:解:火星与地球之间的作用力为万有引力:

当距离变为3s时,作用力为

故选D.
点评:本题是万有引力定律的直接运用,记住公式,搞清楚哪些量改变,哪些量没有变,代入数据讨论.
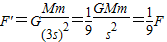
解答:解:火星与地球之间的作用力为万有引力:
当距离变为3s时,作用力为
故选D.
点评:本题是万有引力定律的直接运用,记住公式,搞清楚哪些量改变,哪些量没有变,代入数据讨论.
练习册系列答案
相关题目