题目内容
如图所示,在xoy坐标系中,(1)在磁场中运动时间最长的粒子的速率及运动时间;
(2)若在Y<0区域有沿Y轴负方向的匀强电场,电场强度为E,求在磁场中运动最长时间而速度最大的粒子达Y轴的总时间(从0点开始)及坐标.
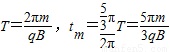
【答案】分析:(1)根据粒子的周期的公式T=
可知,所有的粒子的运动的周期都是相同的,所以经过的圆心角最大的粒子的运动的时间最长;
(2)根据粒子的运动的轨迹可以判断粒子的射出磁场时的坐标,粒子进入电场后,沿x轴的方向做的是匀速直线运动,从而可以求得粒子到达y轴的运动的时间,粒子沿y轴的方向做的是匀加速直线运动,由匀加速直线运动的规律可以求得粒子在y轴上运动的位移的大小.
解答:解:(1)从x轴负方向出磁场的时间最长,而与左边界相切的对应最大速度为υm,圆运动半径R,
由几何关系得,R+Rsin30°=
,
解得 R=
,

根据
解得
根据
解得
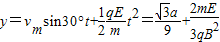
(2)相切而时间最长的从x轴负半轴传出磁场坐标[
,0],
粒子在电场时间
粒子的运动的总的时间为
到达y轴时的距离为
.
点评:电荷在匀强磁场中做匀速圆周运动,关键是画出轨迹,由几何知识求出半径.定圆心角,求时间.
(2)根据粒子的运动的轨迹可以判断粒子的射出磁场时的坐标,粒子进入电场后,沿x轴的方向做的是匀速直线运动,从而可以求得粒子到达y轴的运动的时间,粒子沿y轴的方向做的是匀加速直线运动,由匀加速直线运动的规律可以求得粒子在y轴上运动的位移的大小.
解答:解:(1)从x轴负方向出磁场的时间最长,而与左边界相切的对应最大速度为υm,圆运动半径R,
由几何关系得,R+Rsin30°=
解得 R=
根据
解得
根据
解得
(2)相切而时间最长的从x轴负半轴传出磁场坐标[
粒子在电场时间
粒子的运动的总的时间为
到达y轴时的距离为
点评:电荷在匀强磁场中做匀速圆周运动,关键是画出轨迹,由几何知识求出半径.定圆心角,求时间.
练习册系列答案
相关题目