ÌâÄ¿ÄÚÈÝ
ÈçͼËùʾ£¬Ë®Æ½µØÃæÉÏ·½¾ØÐÎÇøÓòÄÚ´æÔÚ´¹Ö±Ö½ÃæÏòÀïµÄÔÈÇ¿´Å³¡£¬Á½¸ö±ß³¤ÏàµÈµÄµ¥ÔѱպÏÕý·½ÐÎÏßȦ¢ñºÍ¢ò£¬·Ö±ðÓÃÏàͬ²ÄÁÏ£¬²»Í¬´ÖϸµÄµ¼ÏßÈÆÖÆ£¨¢ñΪϸµ¼Ïߣ©£®Á½ÏßȦÔÚ¾à´Å³¡ÉϽçÃæh¸ß´¦Óɾ²Ö¹¿ªÊ¼×ÔÓÉÏÂÂ䣬ÔÙ½øÈë´Å³¡£¬×îºóÂäµ½µØÃ森Ô˶¯¹ý³ÌÖУ¬ÏßÈ¦Æ½ÃæÊ¼ÖÕ±£³ÖÔÚÊúÖ±Æ½ÃæÄÚÇÒϱßԵƽÐÐÓڴų¡Éϱ߽磮ÉèÏßȦ¢ñ¡¢¢òÂäµØÊ±µÄËÙ¶È´óС·Ö±ðΪv1¡¢v2£¬Ôڴų¡ÖÐÔ˶¯Ê±²úÉúµÄÈÈÁ¿·Ö±ðΪQ1¡¢Q2£®²»¼Æ¿ÕÆø×èÁ¦£¬Ôò£¨ £©A£®v1£¼v2£¬Q1£¼Q2
B£®v1=v2£¬Q1=Q2
C£®v1£¼v2£¬Q1£¾Q2
D£®v1=v2£¬Q1£¼Q2
¡¾´ð°¸¡¿·ÖÎö£ºÁ½¾ØÐÎÏßȦ½øÈë´Å³¡Ö®Ç°£¬¾ù×ö×ÔÓÉÂäÌåÔ˶¯£¬ÒòÏÂÂä¸ß¶ÈÒ»Ö£¬ËùÒÔÁ½ÏßȦ»áÒÔͬÑùµÄËٶȽøÈë´Å³¡£¬ÓÉ·¨ÀµÚµç´Å¸ÐÓ¦¶¨ÂÉ¿ÉÇó³ö½øÈë´Å³¡±ß½çʱµÄ¸ÐÓ¦µç¶¯ÊÆ£¬´Ó¶ø±íʾ³öÊܵ½´Å³¡µÄ°²ÅàÁ¦£®Óɵç×趨Âɱíʾ³öÁ½ÏßȦµÄµç×裬½áºÏÅ£¶ÙÔ˶¯¶¨Âɱíʾ³ö¼ÓËÙ¶È£¬¿É·ÖÎö³ö¼ÓËÙ¶ÈÓëÏßȦµÄ´ÖϸÎ޹أ¬´Ó¶øÅжϳöÁ½ÏßȦÔ˶¯Ò»Ö±Í¬²½£¬µÃ³öÂ䵨ËÙ¶ÈÏàͬµÄ½áÂÛ£®Òò×îÖÕÂ䵨ËÙ¶È´óСÏàͬ£¬ÓÉÄÜÁ¿µÄת»¯ÓëÊØºã¿ÉÖª£¬ËðʧµÄ»úеÄÜ£¨×ª»¯ÎªÁËÄÚÄÜ£©ÓëÏßȦµÄÖÊÁ¿Óйأ¬´Ó¶øÅжϳö²úÉúµÄÈÈÁ¿´óС£®
½â´ð£º½â£º
ÓÉÓÚ´Óͬһ¸ß¶ÈÏÂÂ䣬µ½´ï´Å³¡±ß½çʱ¾ßÓÐÏàͬµÄËÙ¶Èv£¬Çиî´Å¸ÐÏß²úÉú¸ÐÓ¦µçÁ÷ͬʱÊܵ½´Å³¡µÄ°²ÅàÁ¦Îª£º
£¬
Óɵç×趨ÂÉÓУº
£¨¦ÑΪ²ÄÁϵĵç×èÂÊ£¬lΪÏßȦµÄ±ß³¤£¬SΪµ¥Ôѵ¼Ïßºá½ØÃæ»ý£©
ËùÒÔϱ߸սøÈë´Å³¡Ê±ËùÊܵݲÅàÁ¦Îª£º

´Ëʱ¼ÓËÙ¶ÈΪ£º
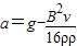
½«ÏßȦµÄÖÊÁ¿m=¦ÑS?4l£¨¦ÑΪ²ÄÁϵÄÃܶȣ©´úÈëÉÏʽ£¬ËùÒԵüÓËÙ¶ÈΪ£º

¾·ÖÎöÉÏʽΪ¶¨Öµ£¬ÏßȦ¢ñºÍ¢òͬ²½Ô˶¯£¬Â䵨ËÙ¶ÈÏàµÈv1=v2
ÓÉÄÜÁ¿Êغã¿ÉµÃ£º
£¨HÊǴų¡ÇøÓòµÄ¸ß¶È£©
¢ñΪϸµ¼ÏßmС£¬²úÉúµÄÈÈÁ¿Ð¡£¬ËùÒÔQ1£¼Q2£®ÕýÈ·Ñ¡ÏîD£¬Ñ¡ÏîABC´íÎó£®
¹ÊÑ¡D£®
µãÆÀ£º´ËÌâµÄ·ÖÎöÊ×ÏÈÒª½øÐзֶΣ¬¼´Îª½øÈë´Å³¡Ö®Ç°ºÍ½øÈë´Å³¡Ö®ºó£¬ÔÚ½øÈë´Å³¡Ö®Ç°£¬Á½ÏßȦ¾ù×ö×ÔÓÉÂäÌåÔ˶¯£®µ±ÏßȦµÄÒ»±ß½øÈë´Å³¡ºó£¬¿ªÊ¼Êܵ½°²ÅàÁ¦µÄ×÷Ó㬴ËʱÔÚÊúÖ±·½ÏòÉÏ»¹Êܵ½ÖØÁ¦×÷Ó㻵±ÏßȦµÄÉÏÏÂÁ½±ß¶¼½øÈë´Å³¡£¬Í¨¹ýÏßȦµÄ´ÅͨÁ¿²»ÔÙ·¢Éú±ä»¯£¬¾Í²»»áÔÙÓа²ÅàÁ¦£¬ÏßȦ¾Í»áÖ»ÔÚÖØÁ¦×÷ÓÃÏÂÔ˶¯Ö±ÖÁÂ䵨£®
½â´ð£º½â£º
ÓÉÓÚ´Óͬһ¸ß¶ÈÏÂÂ䣬µ½´ï´Å³¡±ß½çʱ¾ßÓÐÏàͬµÄËÙ¶Èv£¬Çиî´Å¸ÐÏß²úÉú¸ÐÓ¦µçÁ÷ͬʱÊܵ½´Å³¡µÄ°²ÅàÁ¦Îª£º
Óɵç×趨ÂÉÓУº
ËùÒÔϱ߸սøÈë´Å³¡Ê±ËùÊܵݲÅàÁ¦Îª£º
´Ëʱ¼ÓËÙ¶ÈΪ£º
½«ÏßȦµÄÖÊÁ¿m=¦ÑS?4l£¨¦ÑΪ²ÄÁϵÄÃܶȣ©´úÈëÉÏʽ£¬ËùÒԵüÓËÙ¶ÈΪ£º
¾·ÖÎöÉÏʽΪ¶¨Öµ£¬ÏßȦ¢ñºÍ¢òͬ²½Ô˶¯£¬Â䵨ËÙ¶ÈÏàµÈv1=v2
ÓÉÄÜÁ¿Êغã¿ÉµÃ£º
¢ñΪϸµ¼ÏßmС£¬²úÉúµÄÈÈÁ¿Ð¡£¬ËùÒÔQ1£¼Q2£®ÕýÈ·Ñ¡ÏîD£¬Ñ¡ÏîABC´íÎó£®
¹ÊÑ¡D£®
µãÆÀ£º´ËÌâµÄ·ÖÎöÊ×ÏÈÒª½øÐзֶΣ¬¼´Îª½øÈë´Å³¡Ö®Ç°ºÍ½øÈë´Å³¡Ö®ºó£¬ÔÚ½øÈë´Å³¡Ö®Ç°£¬Á½ÏßȦ¾ù×ö×ÔÓÉÂäÌåÔ˶¯£®µ±ÏßȦµÄÒ»±ß½øÈë´Å³¡ºó£¬¿ªÊ¼Êܵ½°²ÅàÁ¦µÄ×÷Ó㬴ËʱÔÚÊúÖ±·½ÏòÉÏ»¹Êܵ½ÖØÁ¦×÷Ó㻵±ÏßȦµÄÉÏÏÂÁ½±ß¶¼½øÈë´Å³¡£¬Í¨¹ýÏßȦµÄ´ÅͨÁ¿²»ÔÙ·¢Éú±ä»¯£¬¾Í²»»áÔÙÓа²ÅàÁ¦£¬ÏßȦ¾Í»áÖ»ÔÚÖØÁ¦×÷ÓÃÏÂÔ˶¯Ö±ÖÁÂ䵨£®
Á·Ï°²áϵÁдð°¸
Ïà¹ØÌâÄ¿