题目内容
如图a所示,为一组间距d足够大的平行金属板,板间加有随时间变化的电压(如图b所示),设U和T已知.A板上O处有一静止的带电粒子,其带电量为q,质量为m(不计重力),在t=0时刻起该带电粒子受板间电场加速向B板运动,途中由于电场反向,粒子又向A板返回(粒子未曾与B板相碰).(1)当Ux=2U时求带电粒子在t=T时刻的动能;
(2)为使带电粒子在0~T时间内能回到O点,Ux要大于多少?
【答案】分析:(1)粒子前半个周期加向右速运动,后半个周期,先向右减速运动,速度减至零时,向左加速运动,将后半个周期内的运动看成一种有往复有匀减速运动,由牛顿第二定律求出粒子匀加速和匀减速运动的加速度大小,由速度公式可求得求出t=T时刻的速度,即可求出动能.
(2)由位移公式分别求出前个周期内和后装修周期内位移的表达式,粒子回到O点时,两个位移大小相等、方向相反,联立解得Ux.
解答:解:(1)粒子在前半个周期内加速度为:
,在后半个周期内加速度为:
,
t=
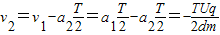
时刻粒子的速度为:
,将后半个周期内的运动看成一种有往复有匀减速运动,则有:
,

(2)粒子在前半个周期内位移为:
,在后半个周期内位移为:
,
,
为使带电粒子在0~T时间内能回到O点,则有:s1=-sx,
联立上面各式,得:ax=3a1,
因为:
,
,所以:Ux=3U.
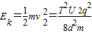
答:(1)当Ux=2U时求带电粒子在t=T时刻的动能为
;
(2)为使带电粒子在0~T时间内能回到O点,Ux要大于3U.
点评:本题首先要分析粒子的运动情况,再选择解题规律,技巧是将往复运动看成一种匀减速运动,要抓住两个过程之间的关系,比如速度关系和位移关系等,进行分析.
(2)由位移公式分别求出前个周期内和后装修周期内位移的表达式,粒子回到O点时,两个位移大小相等、方向相反,联立解得Ux.
解答:解:(1)粒子在前半个周期内加速度为:
t=
(2)粒子在前半个周期内位移为:
为使带电粒子在0~T时间内能回到O点,则有:s1=-sx,
联立上面各式,得:ax=3a1,
因为:
答:(1)当Ux=2U时求带电粒子在t=T时刻的动能为
(2)为使带电粒子在0~T时间内能回到O点,Ux要大于3U.
点评:本题首先要分析粒子的运动情况,再选择解题规律,技巧是将往复运动看成一种匀减速运动,要抓住两个过程之间的关系,比如速度关系和位移关系等,进行分析.
练习册系列答案
相关题目