题目内容
A.电压表V1的示数为311V
B.电压表V2的示数为62V
C.电流表A1的示数为0.10A
D.电流表A2的示数为0.35A
【答案】分析:根据理想变压器中原副线圈的电流、电压与匝数比之间关系可以直接求解,注意电压表、电流表示数均为有效值.
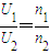
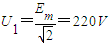
解答:解:由题意可知:
,根据
得:
,故AB错误;
,故D错误;
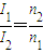
根据
,得:
,故C正确.
故选C.
点评:要根据理想变压器中电流、电压与匝数比之间的关系进行有关问题的解答,注意电表的示数均为有效值.
解答:解:由题意可知:
根据
故选C.
点评:要根据理想变压器中电流、电压与匝数比之间的关系进行有关问题的解答,注意电表的示数均为有效值.
练习册系列答案
相关题目
| 2 |
| A、电流频率为50HZ |
| B、伏特表的读数为24V |
| C、安培表的读数为0.5A |
| D、变压器输入功率为6W |
| A、副线圈的两端M、N的输出电压不变 | B、副线圈输电线等效电阻R上的电压增大 | C、通过灯泡L1的电流增大 | D、原线圈中的电流增大 |
| A、3mA | B、48mA | C、与R的阻值有关 | D、0 |