题目内容

真空中有两个点电荷,它们之间的静电力为F,如果保持它们之间的距离不变,将其中之一的电量增大为原来的4倍,则它们之间的静电力大小等于( )
A.16F
B.4F
C.2F
D.
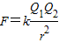
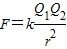
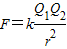
【答案】分析:根据库仑定律的公式求解静电力的大小.
解答:解:由库仑定律的公式知,将其中之一的电量增大为原来的4倍,它们之间的距离不变,则们之间的静电力大小变为原来的4倍.故B正确,A、C、D错误.
故选B.
点评:解决本题的关键掌握库仑定律的公式
练习册系列答案
相关题目

违法和不良信息举报电话:027-86699610 举报邮箱:58377363@163.com

精英家教网