题目内容
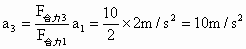
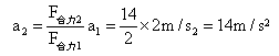
一质量为1kg的物体受到大小分别为8N、6N,方向相反的拉力作用,不计摩擦力的影响,产生的加速度为
.若此两力方向相同,物体的加速度为多大?若此两力成的
的夹角.物体的加速度多大?
答案:略
解析:
解析:
|
两力方向相反时, |
练习册系列答案
相关题目
题目内容
一质量为1kg的物体受到大小分别为8N、6N,方向相反的拉力作用,不计摩擦力的影响,产生的加速度为
.若此两力方向相同,物体的加速度为多大?若此两力成的
的夹角.物体的加速度多大?
|
两力方向相反时, |