题目内容

物体从甲地由静止开始,以恒定加速度做匀加速直线运动,中间做匀速直线运动,最后以恒定加速度做匀减速直线运动,到达乙地时恰好停止.已知甲、乙两地相距s.试问:物体从甲地到乙地至少要花多少时间?运动中最大速度多大?

答案:略
解析:

由于的数值恒定,根据题意可知:从甲地到乙地所花时间的长短取决于中间做匀速直线运动的时间.

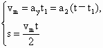
作物体运动过程的vt图象,分别如图中的OABCODEFOGH所示;这些图象与时间轴所围面积的大小代表甲、乙两地间距离(s),显然三个面积应该相等;且BCEFGH,由此可见,图象OGH所表示的运动方式花时间最少(设为t),这种运动方式是:先以做匀加速运动,花时间速度达到最大值,即以加速度做匀减速运动,经时间t到达乙地时速度恰好等于零.由vt图线OGH可得:

根据上述两式,可以求得正确答案:

利用vt图解题关键是全面理解图象的物理意义.(如斜率,面积等等),优点是直观,简洁.


练习册系列答案
相关题目

违法和不良信息举报电话:027-86699610 举报邮箱:58377363@163.com

精英家教网