题目内容

如图所示,在竖直平面内将两个摆长均为l的单摆悬于O点,摆球质量均为m,带电量均为q(q>0).将另一个带电量也为q(q>0)的小球从O点正下方较远处缓慢移向O点,当三个带电小球分别处在等边三角形abc的三个顶点上时,摆线的夹角恰好为120°,则此时摆线上的拉力大小等于(     )

A.2    B.    C.   D.

 

【答案】

D

【解析】

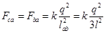
试题分析:由图中几何关系可知:,对小球a受力分析:电场力,其合力为,方向沿着角平分线的反向延长线斜向上,与水平方向成30°;重力G,竖直向下;绳子的拉力T斜向上,与水平方向成30°,所以三个力互成120°,又因为小球a处于静止状态,由平衡条件可知T=G=F,故选项D正确.

考点:本题考查学生对物体受力分析及结合平衡条件灵活解题的能力.

 

练习册系列答案
相关题目

违法和不良信息举报电话:027-86699610 举报邮箱:58377363@163.com

精英家教网